Magna Concursos

Foram encontradas 285 questões.

3227365 Ano: 2024
Disciplina: Português
Banca: FUMARC
Orgão: Pref. Betim-MG

INSTRUÇÃO: A questão refere-se ao texto seguinte.

Se a ciência é feita por humanos e eles falham, como confiar nela?


Em agosto de 2021, a Agência Federal de Saúde dos Estados Unidos, a FDA (Food and Drug Administration), postou um tuíte inusitado, mesclando humor e desespero: “Você não é um cavalo. Você não é uma vaca. Sério, pessoal. Parem com isso”. O tuíte trazia o link para uma página da FDA explicando por que não se devia usar ivermectina para o tratamento da COVID-19.
A razão do apelo era simples: muita gente estava tomando o medicamento de uso veterinário, mesmo com as dezenas de alertas sobre efeitos colaterais em humanos e falta de eficácia comprovada. Verdadeira febre em diversos países, a corrida por esse remédio começou a partir de estudos cheios de vieses e erros metodológicos, tendo sido agravada pelo modo como a ciência é transmitida para a sociedade.
O caso da ivermectina é apenas um exemplo da pandemia de desinformação que confunde as pessoas e desafia a credibilidade da ciência. O modo como o processo científico opera não costuma ser ensinado nas escolas nem divulgado amplamente nas mídias. Longe da visão clássica do cientista fazendo uma única descoberta que mudará o mundo, os pesquisadores trabalham em equipes que desenvolvem hipóteses, e essas hipóteses são testadas em experimentos que não raro chegam a resultados contraditórios.
Muitas vezes, só a repetição dos experimentos em contextos diferentes ajuda a formar um consenso científico sobre determinado tema. Além disso, se a hipótese não for corretamente formulada, se os experimentos não forem bem conduzidos, e se as análises forem enviesadas, teremos resultados que não refletem a realidade. Infelizmente, parte da produção científica se constitui de artigos desenvolvidos nesses moldes, o que só aumenta a confusão.
Cientistas são seres humanos passíveis de cometer erros – algo que é compreendido e analisado no processo científico. E é justamente por isso que resultados submetidos a revistas científicas são primeiramente avaliados por outros cientistas da área. Isso não impede a ocorrência de erros, já que os avaliadores também não são imunes a eles, mas pode funcionar como uma peneira, em maior ou menor grau.
E aí entra outro complicador: existem revistas científicas que não são motivadas pela qualidade e impacto dos achados, mas pelos lucros financeiros, com pouco ou nenhum escrutínio dos resultados – é a chamada revista predatória. Pesquisadores podem acabar escrevendo para essas revistas por desconhecimento ou de forma proposital, já que as métricas tradicionais de desempenho acadêmico levam em conta a produtividade: quanto mais artigos publicados, mais chances de evolução na carreira.
Se a avalição do grau de confiabilidade de artigos e revistas científicas já é uma tarefa difícil mesmo para equipes de cientistas íntegros e bem treinados, como garantir que pessoas alheias ao ambiente acadêmico consigam diferenciar artigos bons e ruins? E mais: como garantir que uma questão complexa ou uma decisão de saúde pública não se fundamente em apenas um único artigo?
Enquanto a ciência é dinâmica e movida pela contestação, as pessoas querem respostas rápidas e simples para perguntas complicadas: ovo faz bem ou faz mal? Qual o melhor remédio para COVID-19? É fácil encontrar respostas pontuais em meio aos milhares de artigos científicos publicados todos os anos, mas o que de fato importa é chegar às explicações mais adequadas com base na análise das melhores evidências disponíveis.
Não é incomum, porém, que se use a ciência para reforçar um ou outro lado de interesse. É o que chamamos de cherry picking, uma alusão ao ato de colher as cerejas maiores e mais vermelhas, na tentativa de afirmar que todas as cerejas existentes são assim.
Mostrar apenas as pesquisas que nos interessam e descaracterizar estudos promove pseudociências e fortalece o negacionismo e determinadas agendas políticas, confundindo ainda mais a população. O uso distorcido de evidências interfere em tomadas de decisões governamentais e põe em risco o bem-estar mundial, uma vez que constitui uma ameaça à saúde pública.
A ciência é a mais eficiente estratégia humana para conhecer o mundo e deve seguir projetando confiança, mesmo reconhecendo que opera num certo grau de incerteza e com inúmeros desafios. Tornar as nuances acadêmicas cada vez mais conhecidas da sociedade ajudará a entender que conclusões definitivas não são simples e que, muito além do apego a um artigo de forma isolada, o apoio e a confiança nos processos científicos nos ajudarão a chegar às melhores respostas e soluções para a humanidade.
(SOLETTI, Rossana. Se a ciência é feita por humanos e eles falham, como confiar nela? Folha de S. Paulo, São Paulo, 29 jun. 2023. Blog Ciência Fundamental. Disponível em: https://www1.folha.uol.com.br/blogs/ciencia-fundamental/2023/06/se-a-ciencia-e-feita-por-humanos-e-eles-falham-como-confiarnela.shtml).
Assinale a alternativa em que a proposta de redação para a frase adaptada do texto está em DESACORDO com a prescrição gramatical.
 

Provas

Questão presente nas seguintes provas
3227364 Ano: 2024
Disciplina: Português
Banca: FUMARC
Orgão: Pref. Betim-MG

INSTRUÇÃO: A questão refere-se ao texto seguinte.

Se a ciência é feita por humanos e eles falham, como confiar nela?


Em agosto de 2021, a Agência Federal de Saúde dos Estados Unidos, a FDA (Food and Drug Administration), postou um tuíte inusitado, mesclando humor e desespero: “Você não é um cavalo. Você não é uma vaca. Sério, pessoal. Parem com isso”. O tuíte trazia o link para uma página da FDA explicando por que não se devia usar ivermectina para o tratamento da COVID-19.
A razão do apelo era simples: muita gente estava tomando o medicamento de uso veterinário, mesmo com as dezenas de alertas sobre efeitos colaterais em humanos e falta de eficácia comprovada. Verdadeira febre em diversos países, a corrida por esse remédio começou a partir de estudos cheios de vieses e erros metodológicos, tendo sido agravada pelo modo como a ciência é transmitida para a sociedade.
O caso da ivermectina é apenas um exemplo da pandemia de desinformação que confunde as pessoas e desafia a credibilidade da ciência. O modo como o processo científico opera não costuma ser ensinado nas escolas nem divulgado amplamente nas mídias. Longe da visão clássica do cientista fazendo uma única descoberta que mudará o mundo, os pesquisadores trabalham em equipes que desenvolvem hipóteses, e essas hipóteses são testadas em experimentos que não raro chegam a resultados contraditórios.
Muitas vezes, só a repetição dos experimentos em contextos diferentes ajuda a formar um consenso científico sobre determinado tema. Além disso, se a hipótese não for corretamente formulada, se os experimentos não forem bem conduzidos, e se as análises forem enviesadas, teremos resultados que não refletem a realidade. Infelizmente, parte da produção científica se constitui de artigos desenvolvidos nesses moldes, o que só aumenta a confusão.
Cientistas são seres humanos passíveis de cometer erros – algo que é compreendido e analisado no processo científico. E é justamente por isso que resultados submetidos a revistas científicas são primeiramente avaliados por outros cientistas da área. Isso não impede a ocorrência de erros, já que os avaliadores também não são imunes a eles, mas pode funcionar como uma peneira, em maior ou menor grau.
E aí entra outro complicador: existem revistas científicas que não são motivadas pela qualidade e impacto dos achados, mas pelos lucros financeiros, com pouco ou nenhum escrutínio dos resultados – é a chamada revista predatória. Pesquisadores podem acabar escrevendo para essas revistas por desconhecimento ou de forma proposital, já que as métricas tradicionais de desempenho acadêmico levam em conta a produtividade: quanto mais artigos publicados, mais chances de evolução na carreira.
Se a avalição do grau de confiabilidade de artigos e revistas científicas já é uma tarefa difícil mesmo para equipes de cientistas íntegros e bem treinados, como garantir que pessoas alheias ao ambiente acadêmico consigam diferenciar artigos bons e ruins? E mais: como garantir que uma questão complexa ou uma decisão de saúde pública não se fundamente em apenas um único artigo?
Enquanto a ciência é dinâmica e movida pela contestação, as pessoas querem respostas rápidas e simples para perguntas complicadas: ovo faz bem ou faz mal? Qual o melhor remédio para COVID-19? É fácil encontrar respostas pontuais em meio aos milhares de artigos científicos publicados todos os anos, mas o que de fato importa é chegar às explicações mais adequadas com base na análise das melhores evidências disponíveis.
Não é incomum, porém, que se use a ciência para reforçar um ou outro lado de interesse. É o que chamamos de cherry picking, uma alusão ao ato de colher as cerejas maiores e mais vermelhas, na tentativa de afirmar que todas as cerejas existentes são assim.
Mostrar apenas as pesquisas que nos interessam e descaracterizar estudos promove pseudociências e fortalece o negacionismo e determinadas agendas políticas, confundindo ainda mais a população. O uso distorcido de evidências interfere em tomadas de decisões governamentais e põe em risco o bem-estar mundial, uma vez que constitui uma ameaça à saúde pública.
A ciência é a mais eficiente estratégia humana para conhecer o mundo e deve seguir projetando confiança, mesmo reconhecendo que opera num certo grau de incerteza e com inúmeros desafios. Tornar as nuances acadêmicas cada vez mais conhecidas da sociedade ajudará a entender que conclusões definitivas não são simples e que, muito além do apego a um artigo de forma isolada, o apoio e a confiança nos processos científicos nos ajudarão a chegar às melhores respostas e soluções para a humanidade.
(SOLETTI, Rossana. Se a ciência é feita por humanos e eles falham, como confiar nela? Folha de S. Paulo, São Paulo, 29 jun. 2023. Blog Ciência Fundamental. Disponível em: https://www1.folha.uol.com.br/blogs/ciencia-fundamental/2023/06/se-a-ciencia-e-feita-por-humanos-e-eles-falham-como-confiarnela.shtml).
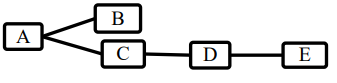
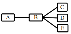
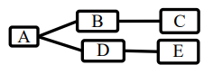
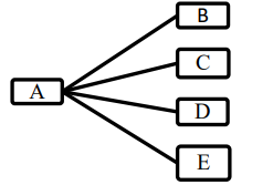
Considere esta frase adaptada do texto:

A hipótese científica deve ser bem formulada, cuidadosamente conduzida e nitidamente imparcial.

A = a hipótese científica B = deve ser C = bem formulada D = cuidadosamente conduzida E = nitidamente imparcial

Considerando que as setas representam relações sintáticas, assinale a alternativa que esquematiza CORRETAMENTE a estrutura do período. Desconsidere a ausência de maiúscula, de pontuação e da palavra “e”.
 

Provas

Questão presente nas seguintes provas
3227363 Ano: 2024
Disciplina: Português
Banca: FUMARC
Orgão: Pref. Betim-MG

INSTRUÇÃO: A questão refere-se ao texto seguinte.

Se a ciência é feita por humanos e eles falham, como confiar nela?


Em agosto de 2021, a Agência Federal de Saúde dos Estados Unidos, a FDA (Food and Drug Administration), postou um tuíte inusitado, mesclando humor e desespero: “Você não é um cavalo. Você não é uma vaca. Sério, pessoal. Parem com isso”. O tuíte trazia o link para uma página da FDA explicando por que não se devia usar ivermectina para o tratamento da COVID-19.
A razão do apelo era simples: muita gente estava tomando o medicamento de uso veterinário, mesmo com as dezenas de alertas sobre efeitos colaterais em humanos e falta de eficácia comprovada. Verdadeira febre em diversos países, a corrida por esse remédio começou a partir de estudos cheios de vieses e erros metodológicos, tendo sido agravada pelo modo como a ciência é transmitida para a sociedade.
O caso da ivermectina é apenas um exemplo da pandemia de desinformação que confunde as pessoas e desafia a credibilidade da ciência. O modo como o processo científico opera não costuma ser ensinado nas escolas nem divulgado amplamente nas mídias. Longe da visão clássica do cientista fazendo uma única descoberta que mudará o mundo, os pesquisadores trabalham em equipes que desenvolvem hipóteses, e essas hipóteses são testadas em experimentos que não raro chegam a resultados contraditórios.
Muitas vezes, só a repetição dos experimentos em contextos diferentes ajuda a formar um consenso científico sobre determinado tema. Além disso, se a hipótese não for corretamente formulada, se os experimentos não forem bem conduzidos, e se as análises forem enviesadas, teremos resultados que não refletem a realidade. Infelizmente, parte da produção científica se constitui de artigos desenvolvidos nesses moldes, o que só aumenta a confusão.
Cientistas são seres humanos passíveis de cometer erros – algo que é compreendido e analisado no processo científico. E é justamente por isso que resultados submetidos a revistas científicas são primeiramente avaliados por outros cientistas da área. Isso não impede a ocorrência de erros, já que os avaliadores também não são imunes a eles, mas pode funcionar como uma peneira, em maior ou menor grau.
E aí entra outro complicador: existem revistas científicas que não são motivadas pela qualidade e impacto dos achados, mas pelos lucros financeiros, com pouco ou nenhum escrutínio dos resultados – é a chamada revista predatória. Pesquisadores podem acabar escrevendo para essas revistas por desconhecimento ou de forma proposital, já que as métricas tradicionais de desempenho acadêmico levam em conta a produtividade: quanto mais artigos publicados, mais chances de evolução na carreira.
Se a avalição do grau de confiabilidade de artigos e revistas científicas já é uma tarefa difícil mesmo para equipes de cientistas íntegros e bem treinados, como garantir que pessoas alheias ao ambiente acadêmico consigam diferenciar artigos bons e ruins? E mais: como garantir que uma questão complexa ou uma decisão de saúde pública não se fundamente em apenas um único artigo?
Enquanto a ciência é dinâmica e movida pela contestação, as pessoas querem respostas rápidas e simples para perguntas complicadas: ovo faz bem ou faz mal? Qual o melhor remédio para COVID-19? É fácil encontrar respostas pontuais em meio aos milhares de artigos científicos publicados todos os anos, mas o que de fato importa é chegar às explicações mais adequadas com base na análise das melhores evidências disponíveis.
Não é incomum, porém, que se use a ciência para reforçar um ou outro lado de interesse. É o que chamamos de cherry picking, uma alusão ao ato de colher as cerejas maiores e mais vermelhas, na tentativa de afirmar que todas as cerejas existentes são assim.
Mostrar apenas as pesquisas que nos interessam e descaracterizar estudos promove pseudociências e fortalece o negacionismo e determinadas agendas políticas, confundindo ainda mais a população. O uso distorcido de evidências interfere em tomadas de decisões governamentais e põe em risco o bem-estar mundial, uma vez que constitui uma ameaça à saúde pública.
A ciência é a mais eficiente estratégia humana para conhecer o mundo e deve seguir projetando confiança, mesmo reconhecendo que opera num certo grau de incerteza e com inúmeros desafios. Tornar as nuances acadêmicas cada vez mais conhecidas da sociedade ajudará a entender que conclusões definitivas não são simples e que, muito além do apego a um artigo de forma isolada, o apoio e a confiança nos processos científicos nos ajudarão a chegar às melhores respostas e soluções para a humanidade.
(SOLETTI, Rossana. Se a ciência é feita por humanos e eles falham, como confiar nela? Folha de S. Paulo, São Paulo, 29 jun. 2023. Blog Ciência Fundamental. Disponível em: https://www1.folha.uol.com.br/blogs/ciencia-fundamental/2023/06/se-a-ciencia-e-feita-por-humanos-e-eles-falham-como-confiarnela.shtml).
Assinale a alternativa em que os elementos destacados exercem a mesma função sintática.
 

Provas

Questão presente nas seguintes provas
3227362 Ano: 2024
Disciplina: Português
Banca: FUMARC
Orgão: Pref. Betim-MG

INSTRUÇÃO: A questão refere-se ao texto seguinte.

Se a ciência é feita por humanos e eles falham, como confiar nela?


Em agosto de 2021, a Agência Federal de Saúde dos Estados Unidos, a FDA (Food and Drug Administration), postou um tuíte inusitado, mesclando humor e desespero: “Você não é um cavalo. Você não é uma vaca. Sério, pessoal. Parem com isso”. O tuíte trazia o link para uma página da FDA explicando por que não se devia usar ivermectina para o tratamento da COVID-19.
A razão do apelo era simples: muita gente estava tomando o medicamento de uso veterinário, mesmo com as dezenas de alertas sobre efeitos colaterais em humanos e falta de eficácia comprovada. Verdadeira febre em diversos países, a corrida por esse remédio começou a partir de estudos cheios de vieses e erros metodológicos, tendo sido agravada pelo modo como a ciência é transmitida para a sociedade.
O caso da ivermectina é apenas um exemplo da pandemia de desinformação que confunde as pessoas e desafia a credibilidade da ciência. O modo como o processo científico opera não costuma ser ensinado nas escolas nem divulgado amplamente nas mídias. Longe da visão clássica do cientista fazendo uma única descoberta que mudará o mundo, os pesquisadores trabalham em equipes que desenvolvem hipóteses, e essas hipóteses são testadas em experimentos que não raro chegam a resultados contraditórios.
Muitas vezes, só a repetição dos experimentos em contextos diferentes ajuda a formar um consenso científico sobre determinado tema. Além disso, se a hipótese não for corretamente formulada, se os experimentos não forem bem conduzidos, e se as análises forem enviesadas, teremos resultados que não refletem a realidade. Infelizmente, parte da produção científica se constitui de artigos desenvolvidos nesses moldes, o que só aumenta a confusão.
Cientistas são seres humanos passíveis de cometer erros – algo que é compreendido e analisado no processo científico. E é justamente por isso que resultados submetidos a revistas científicas são primeiramente avaliados por outros cientistas da área. Isso não impede a ocorrência de erros, já que os avaliadores também não são imunes a eles, mas pode funcionar como uma peneira, em maior ou menor grau.
E aí entra outro complicador: existem revistas científicas que não são motivadas pela qualidade e impacto dos achados, mas pelos lucros financeiros, com pouco ou nenhum escrutínio dos resultados – é a chamada revista predatória. Pesquisadores podem acabar escrevendo para essas revistas por desconhecimento ou de forma proposital, já que as métricas tradicionais de desempenho acadêmico levam em conta a produtividade: quanto mais artigos publicados, mais chances de evolução na carreira.
Se a avalição do grau de confiabilidade de artigos e revistas científicas já é uma tarefa difícil mesmo para equipes de cientistas íntegros e bem treinados, como garantir que pessoas alheias ao ambiente acadêmico consigam diferenciar artigos bons e ruins? E mais: como garantir que uma questão complexa ou uma decisão de saúde pública não se fundamente em apenas um único artigo?
Enquanto a ciência é dinâmica e movida pela contestação, as pessoas querem respostas rápidas e simples para perguntas complicadas: ovo faz bem ou faz mal? Qual o melhor remédio para COVID-19? É fácil encontrar respostas pontuais em meio aos milhares de artigos científicos publicados todos os anos, mas o que de fato importa é chegar às explicações mais adequadas com base na análise das melhores evidências disponíveis.
Não é incomum, porém, que se use a ciência para reforçar um ou outro lado de interesse. É o que chamamos de cherry picking, uma alusão ao ato de colher as cerejas maiores e mais vermelhas, na tentativa de afirmar que todas as cerejas existentes são assim.
Mostrar apenas as pesquisas que nos interessam e descaracterizar estudos promove pseudociências e fortalece o negacionismo e determinadas agendas políticas, confundindo ainda mais a população. O uso distorcido de evidências interfere em tomadas de decisões governamentais e põe em risco o bem-estar mundial, uma vez que constitui uma ameaça à saúde pública.
A ciência é a mais eficiente estratégia humana para conhecer o mundo e deve seguir projetando confiança, mesmo reconhecendo que opera num certo grau de incerteza e com inúmeros desafios. Tornar as nuances acadêmicas cada vez mais conhecidas da sociedade ajudará a entender que conclusões definitivas não são simples e que, muito além do apego a um artigo de forma isolada, o apoio e a confiança nos processos científicos nos ajudarão a chegar às melhores respostas e soluções para a humanidade.
(SOLETTI, Rossana. Se a ciência é feita por humanos e eles falham, como confiar nela? Folha de S. Paulo, São Paulo, 29 jun. 2023. Blog Ciência Fundamental. Disponível em: https://www1.folha.uol.com.br/blogs/ciencia-fundamental/2023/06/se-a-ciencia-e-feita-por-humanos-e-eles-falham-como-confiarnela.shtml).
Em “... teremos resultados que não refletem a realidade.”, a oração destacada
 

Provas

Questão presente nas seguintes provas
3227361 Ano: 2024
Disciplina: Português
Banca: FUMARC
Orgão: Pref. Betim-MG

INSTRUÇÃO: A questão refere-se ao texto seguinte.

Se a ciência é feita por humanos e eles falham, como confiar nela?


Em agosto de 2021, a Agência Federal de Saúde dos Estados Unidos, a FDA (Food and Drug Administration), postou um tuíte inusitado, mesclando humor e desespero: “Você não é um cavalo. Você não é uma vaca. Sério, pessoal. Parem com isso”. O tuíte trazia o link para uma página da FDA explicando por que não se devia usar ivermectina para o tratamento da COVID-19.
A razão do apelo era simples: muita gente estava tomando o medicamento de uso veterinário, mesmo com as dezenas de alertas sobre efeitos colaterais em humanos e falta de eficácia comprovada. Verdadeira febre em diversos países, a corrida por esse remédio começou a partir de estudos cheios de vieses e erros metodológicos, tendo sido agravada pelo modo como a ciência é transmitida para a sociedade.
O caso da ivermectina é apenas um exemplo da pandemia de desinformação que confunde as pessoas e desafia a credibilidade da ciência. O modo como o processo científico opera não costuma ser ensinado nas escolas nem divulgado amplamente nas mídias. Longe da visão clássica do cientista fazendo uma única descoberta que mudará o mundo, os pesquisadores trabalham em equipes que desenvolvem hipóteses, e essas hipóteses são testadas em experimentos que não raro chegam a resultados contraditórios.
Muitas vezes, só a repetição dos experimentos em contextos diferentes ajuda a formar um consenso científico sobre determinado tema. Além disso, se a hipótese não for corretamente formulada, se os experimentos não forem bem conduzidos, e se as análises forem enviesadas, teremos resultados que não refletem a realidade. Infelizmente, parte da produção científica se constitui de artigos desenvolvidos nesses moldes, o que só aumenta a confusão.
Cientistas são seres humanos passíveis de cometer erros – algo que é compreendido e analisado no processo científico. E é justamente por isso que resultados submetidos a revistas científicas são primeiramente avaliados por outros cientistas da área. Isso não impede a ocorrência de erros, já que os avaliadores também não são imunes a eles, mas pode funcionar como uma peneira, em maior ou menor grau.
E aí entra outro complicador: existem revistas científicas que não são motivadas pela qualidade e impacto dos achados, mas pelos lucros financeiros, com pouco ou nenhum escrutínio dos resultados – é a chamada revista predatória. Pesquisadores podem acabar escrevendo para essas revistas por desconhecimento ou de forma proposital, já que as métricas tradicionais de desempenho acadêmico levam em conta a produtividade: quanto mais artigos publicados, mais chances de evolução na carreira.
Se a avalição do grau de confiabilidade de artigos e revistas científicas já é uma tarefa difícil mesmo para equipes de cientistas íntegros e bem treinados, como garantir que pessoas alheias ao ambiente acadêmico consigam diferenciar artigos bons e ruins? E mais: como garantir que uma questão complexa ou uma decisão de saúde pública não se fundamente em apenas um único artigo?
Enquanto a ciência é dinâmica e movida pela contestação, as pessoas querem respostas rápidas e simples para perguntas complicadas: ovo faz bem ou faz mal? Qual o melhor remédio para COVID-19? É fácil encontrar respostas pontuais em meio aos milhares de artigos científicos publicados todos os anos, mas o que de fato importa é chegar às explicações mais adequadas com base na análise das melhores evidências disponíveis.
Não é incomum, porém, que se use a ciência para reforçar um ou outro lado de interesse. É o que chamamos de cherry picking, uma alusão ao ato de colher as cerejas maiores e mais vermelhas, na tentativa de afirmar que todas as cerejas existentes são assim.
Mostrar apenas as pesquisas que nos interessam e descaracterizar estudos promove pseudociências e fortalece o negacionismo e determinadas agendas políticas, confundindo ainda mais a população. O uso distorcido de evidências interfere em tomadas de decisões governamentais e põe em risco o bem-estar mundial, uma vez que constitui uma ameaça à saúde pública.
A ciência é a mais eficiente estratégia humana para conhecer o mundo e deve seguir projetando confiança, mesmo reconhecendo que opera num certo grau de incerteza e com inúmeros desafios. Tornar as nuances acadêmicas cada vez mais conhecidas da sociedade ajudará a entender que conclusões definitivas não são simples e que, muito além do apego a um artigo de forma isolada, o apoio e a confiança nos processos científicos nos ajudarão a chegar às melhores respostas e soluções para a humanidade.
(SOLETTI, Rossana. Se a ciência é feita por humanos e eles falham, como confiar nela? Folha de S. Paulo, São Paulo, 29 jun. 2023. Blog Ciência Fundamental. Disponível em: https://www1.folha.uol.com.br/blogs/ciencia-fundamental/2023/06/se-a-ciencia-e-feita-por-humanos-e-eles-falham-como-confiarnela.shtml).
O tuíte trazia o link para uma página da FDA explicando por que não se deve usar ivermectina para o tratamento da COVID-19.
Assinale a alternativa cuja lacuna deve ser CORRETAMENTE preenchida pela expressão grifada acima.
 

Provas

Questão presente nas seguintes provas
3227360 Ano: 2024
Disciplina: Português
Banca: FUMARC
Orgão: Pref. Betim-MG

INSTRUÇÃO: A questão refere-se ao texto seguinte.

Se a ciência é feita por humanos e eles falham, como confiar nela?


Em agosto de 2021, a Agência Federal de Saúde dos Estados Unidos, a FDA (Food and Drug Administration), postou um tuíte inusitado, mesclando humor e desespero: “Você não é um cavalo. Você não é uma vaca. Sério, pessoal. Parem com isso”. O tuíte trazia o link para uma página da FDA explicando por que não se devia usar ivermectina para o tratamento da COVID-19.
A razão do apelo era simples: muita gente estava tomando o medicamento de uso veterinário, mesmo com as dezenas de alertas sobre efeitos colaterais em humanos e falta de eficácia comprovada. Verdadeira febre em diversos países, a corrida por esse remédio começou a partir de estudos cheios de vieses e erros metodológicos, tendo sido agravada pelo modo como a ciência é transmitida para a sociedade.
O caso da ivermectina é apenas um exemplo da pandemia de desinformação que confunde as pessoas e desafia a credibilidade da ciência. O modo como o processo científico opera não costuma ser ensinado nas escolas nem divulgado amplamente nas mídias. Longe da visão clássica do cientista fazendo uma única descoberta que mudará o mundo, os pesquisadores trabalham em equipes que desenvolvem hipóteses, e essas hipóteses são testadas em experimentos que não raro chegam a resultados contraditórios.
Muitas vezes, só a repetição dos experimentos em contextos diferentes ajuda a formar um consenso científico sobre determinado tema. Além disso, se a hipótese não for corretamente formulada, se os experimentos não forem bem conduzidos, e se as análises forem enviesadas, teremos resultados que não refletem a realidade. Infelizmente, parte da produção científica se constitui de artigos desenvolvidos nesses moldes, o que só aumenta a confusão.
Cientistas são seres humanos passíveis de cometer erros – algo que é compreendido e analisado no processo científico. E é justamente por isso que resultados submetidos a revistas científicas são primeiramente avaliados por outros cientistas da área. Isso não impede a ocorrência de erros, já que os avaliadores também não são imunes a eles, mas pode funcionar como uma peneira, em maior ou menor grau.
E aí entra outro complicador: existem revistas científicas que não são motivadas pela qualidade e impacto dos achados, mas pelos lucros financeiros, com pouco ou nenhum escrutínio dos resultados – é a chamada revista predatória. Pesquisadores podem acabar escrevendo para essas revistas por desconhecimento ou de forma proposital, já que as métricas tradicionais de desempenho acadêmico levam em conta a produtividade: quanto mais artigos publicados, mais chances de evolução na carreira.
Se a avalição do grau de confiabilidade de artigos e revistas científicas já é uma tarefa difícil mesmo para equipes de cientistas íntegros e bem treinados, como garantir que pessoas alheias ao ambiente acadêmico consigam diferenciar artigos bons e ruins? E mais: como garantir que uma questão complexa ou uma decisão de saúde pública não se fundamente em apenas um único artigo?
Enquanto a ciência é dinâmica e movida pela contestação, as pessoas querem respostas rápidas e simples para perguntas complicadas: ovo faz bem ou faz mal? Qual o melhor remédio para COVID-19? É fácil encontrar respostas pontuais em meio aos milhares de artigos científicos publicados todos os anos, mas o que de fato importa é chegar às explicações mais adequadas com base na análise das melhores evidências disponíveis.
Não é incomum, porém, que se use a ciência para reforçar um ou outro lado de interesse. É o que chamamos de cherry picking, uma alusão ao ato de colher as cerejas maiores e mais vermelhas, na tentativa de afirmar que todas as cerejas existentes são assim.
Mostrar apenas as pesquisas que nos interessam e descaracterizar estudos promove pseudociências e fortalece o negacionismo e determinadas agendas políticas, confundindo ainda mais a população. O uso distorcido de evidências interfere em tomadas de decisões governamentais e põe em risco o bem-estar mundial, uma vez que constitui uma ameaça à saúde pública.
A ciência é a mais eficiente estratégia humana para conhecer o mundo e deve seguir projetando confiança, mesmo reconhecendo que opera num certo grau de incerteza e com inúmeros desafios. Tornar as nuances acadêmicas cada vez mais conhecidas da sociedade ajudará a entender que conclusões definitivas não são simples e que, muito além do apego a um artigo de forma isolada, o apoio e a confiança nos processos científicos nos ajudarão a chegar às melhores respostas e soluções para a humanidade.
(SOLETTI, Rossana. Se a ciência é feita por humanos e eles falham, como confiar nela? Folha de S. Paulo, São Paulo, 29 jun. 2023. Blog Ciência Fundamental. Disponível em: https://www1.folha.uol.com.br/blogs/ciencia-fundamental/2023/06/se-a-ciencia-e-feita-por-humanos-e-eles-falham-como-confiarnela.shtml).
Assinale a alternativa cujo verbo em negrito deve sua flexão ao termo sublinhado.
 

Provas

Questão presente nas seguintes provas
3227359 Ano: 2024
Disciplina: Português
Banca: FUMARC
Orgão: Pref. Betim-MG

INSTRUÇÃO: A questão refere-se ao texto seguinte.

Se a ciência é feita por humanos e eles falham, como confiar nela?


Em agosto de 2021, a Agência Federal de Saúde dos Estados Unidos, a FDA (Food and Drug Administration), postou um tuíte inusitado, mesclando humor e desespero: “Você não é um cavalo. Você não é uma vaca. Sério, pessoal. Parem com isso”. O tuíte trazia o link para uma página da FDA explicando por que não se devia usar ivermectina para o tratamento da COVID-19.
A razão do apelo era simples: muita gente estava tomando o medicamento de uso veterinário, mesmo com as dezenas de alertas sobre efeitos colaterais em humanos e falta de eficácia comprovada. Verdadeira febre em diversos países, a corrida por esse remédio começou a partir de estudos cheios de vieses e erros metodológicos, tendo sido agravada pelo modo como a ciência é transmitida para a sociedade.
O caso da ivermectina é apenas um exemplo da pandemia de desinformação que confunde as pessoas e desafia a credibilidade da ciência. O modo como o processo científico opera não costuma ser ensinado nas escolas nem divulgado amplamente nas mídias. Longe da visão clássica do cientista fazendo uma única descoberta que mudará o mundo, os pesquisadores trabalham em equipes que desenvolvem hipóteses, e essas hipóteses são testadas em experimentos que não raro chegam a resultados contraditórios.
Muitas vezes, só a repetição dos experimentos em contextos diferentes ajuda a formar um consenso científico sobre determinado tema. Além disso, se a hipótese não for corretamente formulada, se os experimentos não forem bem conduzidos, e se as análises forem enviesadas, teremos resultados que não refletem a realidade. Infelizmente, parte da produção científica se constitui de artigos desenvolvidos nesses moldes, o que só aumenta a confusão.
Cientistas são seres humanos passíveis de cometer erros – algo que é compreendido e analisado no processo científico. E é justamente por isso que resultados submetidos a revistas científicas são primeiramente avaliados por outros cientistas da área. Isso não impede a ocorrência de erros, já que os avaliadores também não são imunes a eles, mas pode funcionar como uma peneira, em maior ou menor grau.
E aí entra outro complicador: existem revistas científicas que não são motivadas pela qualidade e impacto dos achados, mas pelos lucros financeiros, com pouco ou nenhum escrutínio dos resultados – é a chamada revista predatória. Pesquisadores podem acabar escrevendo para essas revistas por desconhecimento ou de forma proposital, já que as métricas tradicionais de desempenho acadêmico levam em conta a produtividade: quanto mais artigos publicados, mais chances de evolução na carreira.
Se a avalição do grau de confiabilidade de artigos e revistas científicas já é uma tarefa difícil mesmo para equipes de cientistas íntegros e bem treinados, como garantir que pessoas alheias ao ambiente acadêmico consigam diferenciar artigos bons e ruins? E mais: como garantir que uma questão complexa ou uma decisão de saúde pública não se fundamente em apenas um único artigo?
Enquanto a ciência é dinâmica e movida pela contestação, as pessoas querem respostas rápidas e simples para perguntas complicadas: ovo faz bem ou faz mal? Qual o melhor remédio para COVID-19? É fácil encontrar respostas pontuais em meio aos milhares de artigos científicos publicados todos os anos, mas o que de fato importa é chegar às explicações mais adequadas com base na análise das melhores evidências disponíveis.
Não é incomum, porém, que se use a ciência para reforçar um ou outro lado de interesse. É o que chamamos de cherry picking, uma alusão ao ato de colher as cerejas maiores e mais vermelhas, na tentativa de afirmar que todas as cerejas existentes são assim.
Mostrar apenas as pesquisas que nos interessam e descaracterizar estudos promove pseudociências e fortalece o negacionismo e determinadas agendas políticas, confundindo ainda mais a população. O uso distorcido de evidências interfere em tomadas de decisões governamentais e põe em risco o bem-estar mundial, uma vez que constitui uma ameaça à saúde pública.
A ciência é a mais eficiente estratégia humana para conhecer o mundo e deve seguir projetando confiança, mesmo reconhecendo que opera num certo grau de incerteza e com inúmeros desafios. Tornar as nuances acadêmicas cada vez mais conhecidas da sociedade ajudará a entender que conclusões definitivas não são simples e que, muito além do apego a um artigo de forma isolada, o apoio e a confiança nos processos científicos nos ajudarão a chegar às melhores respostas e soluções para a humanidade.
(SOLETTI, Rossana. Se a ciência é feita por humanos e eles falham, como confiar nela? Folha de S. Paulo, São Paulo, 29 jun. 2023. Blog Ciência Fundamental. Disponível em: https://www1.folha.uol.com.br/blogs/ciencia-fundamental/2023/06/se-a-ciencia-e-feita-por-humanos-e-eles-falham-como-confiarnela.shtml).
Considere estas orações:

I. Os avaliadores não estão imunes a equívocos. II. Os trabalhos científicos são submetidos a uma revista. III. Os avaliadores não são capazes de apontar todos os erros. IV. Os cientistas são seres humanos passíveis de cometer erros. V. Os trabalhos científicos são avaliados por cientistas da área.

Assinale a alternativa em que essas orações se articulam num período cuja redação é clara, correta e coesa.
 

Provas

Questão presente nas seguintes provas
3227358 Ano: 2024
Disciplina: Português
Banca: FUMARC
Orgão: Pref. Betim-MG

INSTRUÇÃO: A questão refere-se ao texto seguinte.

Se a ciência é feita por humanos e eles falham, como confiar nela?


Em agosto de 2021, a Agência Federal de Saúde dos Estados Unidos, a FDA (Food and Drug Administration), postou um tuíte inusitado, mesclando humor e desespero: “Você não é um cavalo. Você não é uma vaca. Sério, pessoal. Parem com isso”. O tuíte trazia o link para uma página da FDA explicando por que não se devia usar ivermectina para o tratamento da COVID-19.
A razão do apelo era simples: muita gente estava tomando o medicamento de uso veterinário, mesmo com as dezenas de alertas sobre efeitos colaterais em humanos e falta de eficácia comprovada. Verdadeira febre em diversos países, a corrida por esse remédio começou a partir de estudos cheios de vieses e erros metodológicos, tendo sido agravada pelo modo como a ciência é transmitida para a sociedade.
O caso da ivermectina é apenas um exemplo da pandemia de desinformação que confunde as pessoas e desafia a credibilidade da ciência. O modo como o processo científico opera não costuma ser ensinado nas escolas nem divulgado amplamente nas mídias. Longe da visão clássica do cientista fazendo uma única descoberta que mudará o mundo, os pesquisadores trabalham em equipes que desenvolvem hipóteses, e essas hipóteses são testadas em experimentos que não raro chegam a resultados contraditórios.
Muitas vezes, só a repetição dos experimentos em contextos diferentes ajuda a formar um consenso científico sobre determinado tema. Além disso, se a hipótese não for corretamente formulada, se os experimentos não forem bem conduzidos, e se as análises forem enviesadas, teremos resultados que não refletem a realidade. Infelizmente, parte da produção científica se constitui de artigos desenvolvidos nesses moldes, o que só aumenta a confusão.
Cientistas são seres humanos passíveis de cometer erros – algo que é compreendido e analisado no processo científico. E é justamente por isso que resultados submetidos a revistas científicas são primeiramente avaliados por outros cientistas da área. Isso não impede a ocorrência de erros, já que os avaliadores também não são imunes a eles, mas pode funcionar como uma peneira, em maior ou menor grau.
E aí entra outro complicador: existem revistas científicas que não são motivadas pela qualidade e impacto dos achados, mas pelos lucros financeiros, com pouco ou nenhum escrutínio dos resultados – é a chamada revista predatória. Pesquisadores podem acabar escrevendo para essas revistas por desconhecimento ou de forma proposital, já que as métricas tradicionais de desempenho acadêmico levam em conta a produtividade: quanto mais artigos publicados, mais chances de evolução na carreira.
Se a avalição do grau de confiabilidade de artigos e revistas científicas já é uma tarefa difícil mesmo para equipes de cientistas íntegros e bem treinados, como garantir que pessoas alheias ao ambiente acadêmico consigam diferenciar artigos bons e ruins? E mais: como garantir que uma questão complexa ou uma decisão de saúde pública não se fundamente em apenas um único artigo?
Enquanto a ciência é dinâmica e movida pela contestação, as pessoas querem respostas rápidas e simples para perguntas complicadas: ovo faz bem ou faz mal? Qual o melhor remédio para COVID-19? É fácil encontrar respostas pontuais em meio aos milhares de artigos científicos publicados todos os anos, mas o que de fato importa é chegar às explicações mais adequadas com base na análise das melhores evidências disponíveis.
Não é incomum, porém, que se use a ciência para reforçar um ou outro lado de interesse. É o que chamamos de cherry picking, uma alusão ao ato de colher as cerejas maiores e mais vermelhas, na tentativa de afirmar que todas as cerejas existentes são assim.
Mostrar apenas as pesquisas que nos interessam e descaracterizar estudos promove pseudociências e fortalece o negacionismo e determinadas agendas políticas, confundindo ainda mais a população. O uso distorcido de evidências interfere em tomadas de decisões governamentais e põe em risco o bem-estar mundial, uma vez que constitui uma ameaça à saúde pública.
A ciência é a mais eficiente estratégia humana para conhecer o mundo e deve seguir projetando confiança, mesmo reconhecendo que opera num certo grau de incerteza e com inúmeros desafios. Tornar as nuances acadêmicas cada vez mais conhecidas da sociedade ajudará a entender que conclusões definitivas não são simples e que, muito além do apego a um artigo de forma isolada, o apoio e a confiança nos processos científicos nos ajudarão a chegar às melhores respostas e soluções para a humanidade.
(SOLETTI, Rossana. Se a ciência é feita por humanos e eles falham, como confiar nela? Folha de S. Paulo, São Paulo, 29 jun. 2023. Blog Ciência Fundamental. Disponível em: https://www1.folha.uol.com.br/blogs/ciencia-fundamental/2023/06/se-a-ciencia-e-feita-por-humanos-e-eles-falham-como-confiarnela.shtml).
Assinale a alternativa que faz uma leitura CORRETA das ideias do texto.
 

Provas

Questão presente nas seguintes provas
3227357 Ano: 2024
Disciplina: Português
Banca: FUMARC
Orgão: Pref. Betim-MG

INSTRUÇÃO: A questão refere-se ao texto seguinte.

Se a ciência é feita por humanos e eles falham, como confiar nela?


Em agosto de 2021, a Agência Federal de Saúde dos Estados Unidos, a FDA (Food and Drug Administration), postou um tuíte inusitado, mesclando humor e desespero: “Você não é um cavalo. Você não é uma vaca. Sério, pessoal. Parem com isso”. O tuíte trazia o link para uma página da FDA explicando por que não se devia usar ivermectina para o tratamento da COVID-19.
A razão do apelo era simples: muita gente estava tomando o medicamento de uso veterinário, mesmo com as dezenas de alertas sobre efeitos colaterais em humanos e falta de eficácia comprovada. Verdadeira febre em diversos países, a corrida por esse remédio começou a partir de estudos cheios de vieses e erros metodológicos, tendo sido agravada pelo modo como a ciência é transmitida para a sociedade.
O caso da ivermectina é apenas um exemplo da pandemia de desinformação que confunde as pessoas e desafia a credibilidade da ciência. O modo como o processo científico opera não costuma ser ensinado nas escolas nem divulgado amplamente nas mídias. Longe da visão clássica do cientista fazendo uma única descoberta que mudará o mundo, os pesquisadores trabalham em equipes que desenvolvem hipóteses, e essas hipóteses são testadas em experimentos que não raro chegam a resultados contraditórios.
Muitas vezes, só a repetição dos experimentos em contextos diferentes ajuda a formar um consenso científico sobre determinado tema. Além disso, se a hipótese não for corretamente formulada, se os experimentos não forem bem conduzidos, e se as análises forem enviesadas, teremos resultados que não refletem a realidade. Infelizmente, parte da produção científica se constitui de artigos desenvolvidos nesses moldes, o que só aumenta a confusão.
Cientistas são seres humanos passíveis de cometer erros – algo que é compreendido e analisado no processo científico. E é justamente por isso que resultados submetidos a revistas científicas são primeiramente avaliados por outros cientistas da área. Isso não impede a ocorrência de erros, já que os avaliadores também não são imunes a eles, mas pode funcionar como uma peneira, em maior ou menor grau.
E aí entra outro complicador: existem revistas científicas que não são motivadas pela qualidade e impacto dos achados, mas pelos lucros financeiros, com pouco ou nenhum escrutínio dos resultados – é a chamada revista predatória. Pesquisadores podem acabar escrevendo para essas revistas por desconhecimento ou de forma proposital, já que as métricas tradicionais de desempenho acadêmico levam em conta a produtividade: quanto mais artigos publicados, mais chances de evolução na carreira.
Se a avalição do grau de confiabilidade de artigos e revistas científicas já é uma tarefa difícil mesmo para equipes de cientistas íntegros e bem treinados, como garantir que pessoas alheias ao ambiente acadêmico consigam diferenciar artigos bons e ruins? E mais: como garantir que uma questão complexa ou uma decisão de saúde pública não se fundamente em apenas um único artigo?
Enquanto a ciência é dinâmica e movida pela contestação, as pessoas querem respostas rápidas e simples para perguntas complicadas: ovo faz bem ou faz mal? Qual o melhor remédio para COVID-19? É fácil encontrar respostas pontuais em meio aos milhares de artigos científicos publicados todos os anos, mas o que de fato importa é chegar às explicações mais adequadas com base na análise das melhores evidências disponíveis.
Não é incomum, porém, que se use a ciência para reforçar um ou outro lado de interesse. É o que chamamos de cherry picking, uma alusão ao ato de colher as cerejas maiores e mais vermelhas, na tentativa de afirmar que todas as cerejas existentes são assim.
Mostrar apenas as pesquisas que nos interessam e descaracterizar estudos promove pseudociências e fortalece o negacionismo e determinadas agendas políticas, confundindo ainda mais a população. O uso distorcido de evidências interfere em tomadas de decisões governamentais e põe em risco o bem-estar mundial, uma vez que constitui uma ameaça à saúde pública.
A ciência é a mais eficiente estratégia humana para conhecer o mundo e deve seguir projetando confiança, mesmo reconhecendo que opera num certo grau de incerteza e com inúmeros desafios. Tornar as nuances acadêmicas cada vez mais conhecidas da sociedade ajudará a entender que conclusões definitivas não são simples e que, muito além do apego a um artigo de forma isolada, o apoio e a confiança nos processos científicos nos ajudarão a chegar às melhores respostas e soluções para a humanidade.
(SOLETTI, Rossana. Se a ciência é feita por humanos e eles falham, como confiar nela? Folha de S. Paulo, São Paulo, 29 jun. 2023. Blog Ciência Fundamental. Disponível em: https://www1.folha.uol.com.br/blogs/ciencia-fundamental/2023/06/se-a-ciencia-e-feita-por-humanos-e-eles-falham-como-confiarnela.shtml).
Segundo o texto,

I. o modo como os resultados científicos são transmitidos interfere no comportamento dos cidadãos. II. uma hipótese bem formulada contribui para o desenvolvimento estratégico de uma dada pesquisa. III. as revistas científicas são uma garantia de que se faz ciência com ética, confiabilidade e qualidade. IV. a publicização de evidências científicas gera impactos nas tomadas de decisões governamentais.

É CORRETO o que se afirma apenas em
 

Provas

Questão presente nas seguintes provas
3227356 Ano: 2024
Disciplina: Português
Banca: FUMARC
Orgão: Pref. Betim-MG

INSTRUÇÃO: A questão refere-se ao texto seguinte.

Se a ciência é feita por humanos e eles falham, como confiar nela?


Em agosto de 2021, a Agência Federal de Saúde dos Estados Unidos, a FDA (Food and Drug Administration), postou um tuíte inusitado, mesclando humor e desespero: “Você não é um cavalo. Você não é uma vaca. Sério, pessoal. Parem com isso”. O tuíte trazia o link para uma página da FDA explicando por que não se devia usar ivermectina para o tratamento da COVID-19.
A razão do apelo era simples: muita gente estava tomando o medicamento de uso veterinário, mesmo com as dezenas de alertas sobre efeitos colaterais em humanos e falta de eficácia comprovada. Verdadeira febre em diversos países, a corrida por esse remédio começou a partir de estudos cheios de vieses e erros metodológicos, tendo sido agravada pelo modo como a ciência é transmitida para a sociedade.
O caso da ivermectina é apenas um exemplo da pandemia de desinformação que confunde as pessoas e desafia a credibilidade da ciência. O modo como o processo científico opera não costuma ser ensinado nas escolas nem divulgado amplamente nas mídias. Longe da visão clássica do cientista fazendo uma única descoberta que mudará o mundo, os pesquisadores trabalham em equipes que desenvolvem hipóteses, e essas hipóteses são testadas em experimentos que não raro chegam a resultados contraditórios.
Muitas vezes, só a repetição dos experimentos em contextos diferentes ajuda a formar um consenso científico sobre determinado tema. Além disso, se a hipótese não for corretamente formulada, se os experimentos não forem bem conduzidos, e se as análises forem enviesadas, teremos resultados que não refletem a realidade. Infelizmente, parte da produção científica se constitui de artigos desenvolvidos nesses moldes, o que só aumenta a confusão.
Cientistas são seres humanos passíveis de cometer erros – algo que é compreendido e analisado no processo científico. E é justamente por isso que resultados submetidos a revistas científicas são primeiramente avaliados por outros cientistas da área. Isso não impede a ocorrência de erros, já que os avaliadores também não são imunes a eles, mas pode funcionar como uma peneira, em maior ou menor grau.
E aí entra outro complicador: existem revistas científicas que não são motivadas pela qualidade e impacto dos achados, mas pelos lucros financeiros, com pouco ou nenhum escrutínio dos resultados – é a chamada revista predatória. Pesquisadores podem acabar escrevendo para essas revistas por desconhecimento ou de forma proposital, já que as métricas tradicionais de desempenho acadêmico levam em conta a produtividade: quanto mais artigos publicados, mais chances de evolução na carreira.
Se a avalição do grau de confiabilidade de artigos e revistas científicas já é uma tarefa difícil mesmo para equipes de cientistas íntegros e bem treinados, como garantir que pessoas alheias ao ambiente acadêmico consigam diferenciar artigos bons e ruins? E mais: como garantir que uma questão complexa ou uma decisão de saúde pública não se fundamente em apenas um único artigo?
Enquanto a ciência é dinâmica e movida pela contestação, as pessoas querem respostas rápidas e simples para perguntas complicadas: ovo faz bem ou faz mal? Qual o melhor remédio para COVID-19? É fácil encontrar respostas pontuais em meio aos milhares de artigos científicos publicados todos os anos, mas o que de fato importa é chegar às explicações mais adequadas com base na análise das melhores evidências disponíveis.
Não é incomum, porém, que se use a ciência para reforçar um ou outro lado de interesse. É o que chamamos de cherry picking, uma alusão ao ato de colher as cerejas maiores e mais vermelhas, na tentativa de afirmar que todas as cerejas existentes são assim.
Mostrar apenas as pesquisas que nos interessam e descaracterizar estudos promove pseudociências e fortalece o negacionismo e determinadas agendas políticas, confundindo ainda mais a população. O uso distorcido de evidências interfere em tomadas de decisões governamentais e põe em risco o bem-estar mundial, uma vez que constitui uma ameaça à saúde pública.
A ciência é a mais eficiente estratégia humana para conhecer o mundo e deve seguir projetando confiança, mesmo reconhecendo que opera num certo grau de incerteza e com inúmeros desafios. Tornar as nuances acadêmicas cada vez mais conhecidas da sociedade ajudará a entender que conclusões definitivas não são simples e que, muito além do apego a um artigo de forma isolada, o apoio e a confiança nos processos científicos nos ajudarão a chegar às melhores respostas e soluções para a humanidade.
(SOLETTI, Rossana. Se a ciência é feita por humanos e eles falham, como confiar nela? Folha de S. Paulo, São Paulo, 29 jun. 2023. Blog Ciência Fundamental. Disponível em: https://www1.folha.uol.com.br/blogs/ciencia-fundamental/2023/06/se-a-ciencia-e-feita-por-humanos-e-eles-falham-como-confiarnela.shtml).
A autora
 

Provas

Questão presente nas seguintes provas