Magna Concursos

Foram encontradas 229 questões.

3618336 Ano: 2025
Disciplina: Nutrição
Banca: Inovaty
Orgão: Pref. Belém Piauí-PI
Provas:
As infecções alimentares são doenças causadas pela ingestão de alimentos contaminados com organismos patogênicos, como bactérias, vírus ou parasitas que podem acometer crianças, adultos e idosos.
Com relação a estas infecções, assinale a opção INCORRETA.
 

Provas

Questão presente nas seguintes provas
3618335 Ano: 2025
Disciplina: Nutrição
Banca: Inovaty
Orgão: Pref. Belém Piauí-PI
Provas:
Processo comumente relacionado à globalização, pelo qual uma população passa por mudanças no padrão alimentar, como por exemplo, sair da desnutrição para a obesidade.
[...]
Disponível em:https://docs.bvsalud.org/biblioref/coleciona-sus/2004/28163/28163-380.pdf. acesso em: 11 fev. 2025.

Este conceito refere-se à:
 

Provas

Questão presente nas seguintes provas
3618334 Ano: 2025
Disciplina: Nutrição
Banca: Inovaty
Orgão: Pref. Belém Piauí-PI
Provas:
Avalie os itens a seguir em relação à alimentação complementar e às recomendações nutricionais para crianças brasileiras com menos de dois anos.

I - A alimentação complementar deve ser oferecida em horários regulares, para a criança se acostumar rapidamente.
II - As papinhas industrializadas de frutas, legumes, cereais, podem fazer parte da alimentação de crianças entre seis meses e dois anos, desde que não apresentem aditivos em sua composição.
III - A partir de seis meses recomenda-se a alimentação complementar, com oferta de quatro refeições de comida ao dia para crianças que estão em aleitamento materno ou aquelas em uso de fórmulas.

Assinale a alternativa CORRETA.
 

Provas

Questão presente nas seguintes provas
3618333 Ano: 2025
Disciplina: Nutrição
Banca: Inovaty
Orgão: Pref. Belém Piauí-PI
Provas:
O recordatório alimentar de 24 horas é amplamente utilizado e consiste na obtenção de informações verbais sobre a ingestão alimentar nas últimas 24 horas. Neste método as informações devem ser detalhadas, fornecendo a porção dos alimentos e bebidas, horários e locais das refeições, dentre outras informações.
Sobre as vantagens do método, assinale a alternativa INCORRETA.
 

Provas

Questão presente nas seguintes provas
3618332 Ano: 2025
Disciplina: Nutrição
Banca: Inovaty
Orgão: Pref. Belém Piauí-PI
Provas:
Para avaliação antropométrica por meio da medida da circunferência abdominal (CA), a Organização Mundial da Saúde (OMS) estabelece valores padrões de referência para homens e mulheres, como ponto de corte indicativo de risco aumentado para complicações metabólicas.

Assinale a alternativa CORRETA.
 

Provas

Questão presente nas seguintes provas
3618331 Ano: 2025
Disciplina: Nutrição
Banca: Inovaty
Orgão: Pref. Belém Piauí-PI
Provas:
Ao avaliar a massa corporal de uma mulher de 58 anos, residente na cidade de Belém do Piauí, observou-se que sua massa corporal usual é de 78 kg (pesada há dois meses) e atualmente ela está com 67,8 kg.

Com base nesse relato hipotético, assinale a alternativa CORRETA.
 

Provas

Questão presente nas seguintes provas
3618330 Ano: 2025
Disciplina: Nutrição
Banca: Inovaty
Orgão: Pref. Belém Piauí-PI
Provas:
Enunciado 4284846-1
Disponível em: https://images.app.goo.gl/HEjNwBMru51rwefD9. Acesso em: 10 fev. 2025.

Náuseas e vômitos durante a gravidez (NVGs) são muito frequentes, podem influenciar significativamente a qualidade de vida da gestante e de sua família, especialmente quando estão presentes de forma persistente e/ou grave, pois contribuem efetivamente no absenteísmo ao trabalho.
Sobre o tratamento dietético das mulheres com NVGs:

I- São recomendadas refeições a cada uma a duas horas e em pequenas quantidades.
II- Devem-se evitar alimentos picantes ou gordurosos, sem pimentas e sem frituras.
III- Preferir comer alimentos secos ou suaves, destacando-se algumas frutas.
IV- Os lanches devem ser hipoproteícos ou sem biscoitos pela manhã ao se levantar.
V- Vegetais (repolho, brócolis, couve-manteiga) complicam o controle dos sintomas.

É correto o que se afirma em
 

Provas

Questão presente nas seguintes provas
3618329 Ano: 2025
Disciplina: Nutrição
Banca: Inovaty
Orgão: Pref. Belém Piauí-PI
Provas:
A antropometria é simples, fácil, prática, não invasiva, de custo baixo e com possibilidade de utilização de equipamentos portáteis e duráveis. As medidas de peso e de estatura são comumente utilizadas para avaliar o estado nutricional dos indivíduos.

I - O peso corporal isoladamente e o IMC discriminam a composição corporal, a condição hídrica, a distribuição da gordura ou as diferenças na estrutura óssea do indivíduo.
II - Os indicadores antropométricos e de composição corporal podem sofrer interferência da desidratação ou do edema (paciente grave, doença renal, insuficiência cardíaca, por exemplo).
III - Quando não for possível mensurar a estatura de maneira direta, as medidas indiretas são indicadas para pessoas impossibilitadas de ficar em pé (pacientes em coma) ou para aquelas que têm contração significativa da parte superior do corpo, como curvatura espinhal grave.

Está correto o que se afirma
 

Provas

Questão presente nas seguintes provas
3618328 Ano: 2025
Disciplina: Nutrição
Banca: Inovaty
Orgão: Pref. Belém Piauí-PI
Provas:
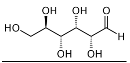
Enunciado 4284844-1
Disponível em: https://www.infoescola.com/bioquimica/glicose. Acesso em: 12 fev. 2025.

A glicose é um monossacarídeo, ou seja, um carboidrato simples que apresenta fórmula molecular C6H12O6, é o substrato preferencial para produção de energia em situações de emergência e vários são os fatores que podem contribuir para um descontrole glicêmico.
Sobre a Terapia nutricional no Diabetes Mellitus (DM), julgue os itens como verdadeiros (V) ou falsos (F).

( ) Durante a hospitalização, a hiperglicemia está associada a resultados adversos, com aumento da morbimortalidade, sendo preferível manter o paciente com hipoglicemia.
( ) Atualmente, é consenso que a manutenção da glicemia dentro da normalidade durante a internação pode contribuir para reduzir complicações e melhorar desfechos, beneficiando tanto pacientes com DM, como não diabéticos com hiperglicemia por estresse metabólico.
( ) Pacientes em uso contínuo de metformina devem ser rastreados para deficiência de vitamina A anualmente e, se apresentarem deficiência dessa vitamina, esta deve ser corrigida.
( ) A literatura recomenda uma meta de glicemia dentro da faixa de 100 mg/dL – 120 mg/ dL para pacientes hospitalizados com ou sem diagnóstico de DM.

Assinale a sequência correta.
 

Provas

Questão presente nas seguintes provas
3618327 Ano: 2025
Disciplina: Informática
Banca: Inovaty
Orgão: Pref. Belém Piauí-PI
Provas:
Um assistente administrativo utiliza o navegador Google Chrome para acessar sistemas internos e realizar pesquisas na Internet. Certo dia, ele recebeu um e-mail aparentemente enviado pelo setor de recursos humanos de sua empresa, informando sobre uma oportunidade interna de promoção. O e-mail incluía um link para acessar o “formulário de inscrição”. Após clicar no link, o navegador começou a exibir janelas de pop-up constantemente e a redirecionar a navegação para sites suspeitos. Além disso, um programa malicioso foi instalado sem autorização, comprometendo o desempenho do computador e capturando informações sensíveis.

Enunciado 4245511-1


Com base nessa situação hipotética, assinale a opção que apresenta o tipo de ameaça enfrentada e a prática preventiva eficaz para evitar esse problema.
 

Provas

Questão presente nas seguintes provas