Foram encontradas 40 questões.
Em quais pontos do plano cartesiano as funções reais f(x)=x2+2 e g(x)=x+4
coincidem?
Provas
Questão presente nas seguintes provas
Na figura abaixo, considere que ABCD é um quadrado e que CDE é um triângulo
equilátero, ambos de lado medindo 4 cm.

Nessas condições, qual é a área (em cm2 ) da figura ABCDE?

Nessas condições, qual é a área (em cm2 ) da figura ABCDE?
Provas
Questão presente nas seguintes provas
Sofia e Tomás colecionam bonecas. Juntos eles têm 37 bonecas. Sofia tem uma
boneca a mais que o dobro das de Tomás. Quantas bonecas Sofia e Tomás têm, respectivamente?
Provas
Questão presente nas seguintes provas
Um comerciante tem no seu estoque 500 kg de açúcar. Em um final de semana, ele
vendeu
2/5
desse estoque e depois utilizou mais 50 kg para fazer doces. Quantos quilos de açúcar ainda
restam no estoque?
Provas
Questão presente nas seguintes provas
3315042
Ano: 2024
Disciplina: Raciocínio Lógico
Banca: FUNDATEC
Orgão: Pref. Barra Guarita-RS
Disciplina: Raciocínio Lógico
Banca: FUNDATEC
Orgão: Pref. Barra Guarita-RS
Provas:
- Lógica ProposicionalEquivalências Lógicas
- Lógica ProposicionalNegação de Proposições CompostasLeis de De Morgan
Considere as sentenças abertas "x é um número par" e "x é um múltiplo de 7". Qual
é a negação da proposição quantificada "todos os números pares são múltiplos de 7"?
Provas
Questão presente nas seguintes provas
No triângulo ABC da figura abaixo, a reta DE é paralela ao lado AB:

Se AC, BD e CD medem, respectivamente 9 cm, 4 cm e 2/3 cm, qual é o comprimento (em cm) do segmento AE?
Provas
Questão presente nas seguintes provas
Considere a função real quadrática f(x) = ax
2 + bx + c em que a, b e c são
números reais e a não é nulo. Sabendo que f(0)=2, f(1)=3 e f(2)=6, qual é o valor de f(3)?
Provas
Questão presente nas seguintes provas
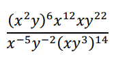
Ao simplificar a expressão abaixo, qual é a expressão obtida?

Provas
Questão presente nas seguintes provas
Quanto vale a quinta parte do dobro da quarta parte de 1?
Provas
Questão presente nas seguintes provas
3315037
Ano: 2024
Disciplina: Raciocínio Lógico
Banca: FUNDATEC
Orgão: Pref. Barra Guarita-RS
Disciplina: Raciocínio Lógico
Banca: FUNDATEC
Orgão: Pref. Barra Guarita-RS
Provas:
Considere as seguintes sentenças:
• p: “hoje é dia das mães”.
• q: “amanhã é dia dos pais”.
Usando conectivos lógicos, qual é a forma correta de representar a proposição “Se hoje é dia das mães, então amanhã é dia dos pais”?
• p: “hoje é dia das mães”.
• q: “amanhã é dia dos pais”.
Usando conectivos lógicos, qual é a forma correta de representar a proposição “Se hoje é dia das mães, então amanhã é dia dos pais”?
Provas
Questão presente nas seguintes provas
Cadernos
Caderno Container