Foram encontradas 50 questões.
I. f:
II. g:
III. h:
h (x) = sen (x)
Em relação aos domínios e contradomínios indicados, assinale a alternativa correta.
Provas
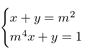
Seja m ∈
considere o sistema linear

Assinale a alternativa que contém uma afirmação CORRETA sobre a classificação do sistema (possível e determinado / possível e indeterminado / impossível).
Provas
Provas
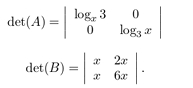
Considere x ∈
, com x > 0 e
x ![]()

Se det (A . B) = 36, assinale a alternativa correta.
Provas
log2 (x2 - 1) < log2 3
Assinale a alternativa que apresenta o conjunto solução S correto.
Provas
logx (2) . log4 (x2) = logxx
Assinale a alternativa que descreve corretamente o conjunto solução dessa equação:
Provas
Considere as funções com domínios reais
f (x) = |x - 2|, g(x)=
Analise as afirmações abaixo:
I. As três funções possuem ponto de mínimo.
II. Os pontos de mínimo de f (x) e g(x) ocorrem em x = 2.
III. A função h (x) é estritamente crescente em todo seu domínio.
IV. O valor mínimo de f (x) é 0 e o de g (x) é -1.
V. A função h (x) intercepta o eixo y no ponto (0, -1).
VI. h (2) = 3, que é maior que os valores mínimos de f (x) e g (x).
Assinale a alternativa correta.
Provas
• A = {1, 2, 3,..., 50} é o conjunto dos 50 bicicletas disponíveis.
• B = {1001, 1002, 1003,..., 1050} é o conjunto das 50 códigos disponíveis.
• f (x) associa cada bicicleta x ∈ A a um código de desbloqueio y ∈ B
Sabendo que f é uma função bijetora, assinale a alternativa INCORRETA:
Provas
- A = {x ∈
- B = {x ∈
- C = {x ∈
Definindo o conjunto S = (A ∩ C) \ B, assinale a alternativa que apresenta uma proposição CORRETA:
Provas
Considere as seguintes afirmações sobre números irracionais.
I. √2 + √2 é um número irracional.
II. 3 x π é um número irracional.
III. 5√32 é um número irracional.
IV. ![]()
V. 3√2 x 3√4 é um número irracional.
Assinale a alternativa correta.
Provas
Caderno Container