Magna Concursos

Foram encontradas 40 questões.

1477185 Ano: 2008
Disciplina: Matemática
Banca: UPENET/IAUPE
Orgão: Pref. Arcoverde-PE
Provas:

A distância entre as cidades de Pitimbu e Taquara é de 200 Km. Se o litro de combustível custa R$ 2,00 e seu carro consome um litro desse combustível a cada 8 Km, quanto você gastaria, em reais, para ir de Pitimbu para Taquara?

 

Provas

Questão presente nas seguintes provas
1477184 Ano: 2008
Disciplina: Matemática
Banca: UPENET/IAUPE
Orgão: Pref. Arcoverde-PE
Provas:
Colocando-se os números enunciado 1477184-1 em ordem crescente, obtém-se

 

Provas

Questão presente nas seguintes provas
1477183 Ano: 2008
Disciplina: Matemática
Banca: UPENET/IAUPE
Orgão: Pref. Arcoverde-PE
Provas:

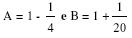
Se enunciado 1477183-1 qual o valor de A + B?

 

Provas

Questão presente nas seguintes provas
1477182 Ano: 2008
Disciplina: Matemática
Banca: UPENET/IAUPE
Orgão: Pref. Arcoverde-PE
Provas:

Um andarilho deseja fazer uma caminhada de 21 Km. Numa primeira etapa, percorreu enunciado 1477182-1 do percurso total; numa segunda etapa, percorreu enunciado 1477182-2 do restante. Quanto, em quilômetros, falta para o andarilho completar a caminhada?

 

Provas

Questão presente nas seguintes provas
1477181 Ano: 2008
Disciplina: Português
Banca: UPENET/IAUPE
Orgão: Pref. Arcoverde-PE
Provas:

O motorista deve conhecer o Código de Trânsito

Se o verbo sublinhado fosse conjugado no pretérito imperfeito do indicativo, ficaria:

 

Provas

Questão presente nas seguintes provas
1477180 Ano: 2008
Disciplina: Português
Banca: UPENET/IAUPE
Orgão: Pref. Arcoverde-PE
Provas:

"Motorista pára em cima da faixa do pedestre", o verbo

I. é acentuado para diferenciar da preposição para.

II. está no singular, porque concorda com motorista.

III. está no presente do indicativo.

Está(ão) CORRETA(S)

 

Provas

Questão presente nas seguintes provas
1477179 Ano: 2008
Disciplina: Português
Banca: UPENET/IAUPE
Orgão: Pref. Arcoverde-PE
Provas:

"O excesso de veículos nas ruas provoca congestionamento, aumento da poluição do ar e degradação da qualidade de vida da nossa cidade."

Que alternativa abaixo apresenta a mesma idéia do texto acima?

 

Provas

Questão presente nas seguintes provas
1477178 Ano: 2008
Disciplina: Português
Banca: UPENET/IAUPE
Orgão: Pref. Arcoverde-PE
Provas:

No texto "Use sempre cinto de segurança", o termo em negrito está grafado com Ç. Em qual das frases abaixo, a palavra em negrito está grafada INCORRETAMENTE?

 

Provas

Questão presente nas seguintes provas
1477177 Ano: 2008
Disciplina: Português
Banca: UPENET/IAUPE
Orgão: Pref. Arcoverde-PE
Provas:

Analisando-se as frases:

1. Motorista, obedeça à velocidade permitida na via!

2. Motorista, não dirija sob efeito de bebida alcoólica!

3. Motorista, não fale ao celular!

Conclui-se que

 

Provas

Questão presente nas seguintes provas
1477176 Ano: 2008
Disciplina: Português
Banca: UPENET/IAUPE
Orgão: Pref. Arcoverde-PE
Provas:

No texto "Trânsito seguro é um direito de todos, mas responsabilidade de cada um." o termo mas inicia a oração, estabelecendo uma idéia de

 

Provas

Questão presente nas seguintes provas