Foram encontradas 22 questões.
Disciplina: Atualidades e Conhecimentos Gerais
Banca: Consulplan
Orgão: Pref. Araçatuba-SP
Os serviços de abastecimento de água e energia em Araçatuba/SP são realizados, respectivamente por
Provas
Disciplina: Atualidades e Conhecimentos Gerais
Banca: Consulplan
Orgão: Pref. Araçatuba-SP
As questões 26 e 27 se referem à criação oficial da Guarda Municipal de Araçatuba/SP.
A Guarda Municipal foi criada em
Provas
Disciplina: Atualidades e Conhecimentos Gerais
Banca: Consulplan
Orgão: Pref. Araçatuba-SP
“O primeiro presidente eleito após o período de ditadura militar, _________________, não ficou por muito tempo no governo, renunciando ao cargo no final de 1992.” Assinale a alternativa que completa corretamente a afirmativa anterior.
Provas
Disciplina: Atualidades e Conhecimentos Gerais
Banca: Consulplan
Orgão: Pref. Araçatuba-SP
“Você em primeiro lugar”: este foi o último slogan da TV Manchete, que encerrou suas atividades no ano de
Provas
Disciplina: Atualidades e Conhecimentos Gerais
Banca: Consulplan
Orgão: Pref. Araçatuba-SP
Um dos maiores eventos musicais da história do Brasil – o Rock in Rio – terá nova edição em 2011. Em que data será realizado o festival?
Provas
Disciplina: Atualidades e Conhecimentos Gerais
Banca: Consulplan
Orgão: Pref. Araçatuba-SP
Com o intuito de melhorar o sistema de segurança, uma das principais atrações turísticas dos Estados Unidos, localizada em Nova York, será fechada para reformas a partir de 2011. Trata-se da
Provas
A soma de 5 números inteiros consecutivos é igual a – 10. O produto entre o maior e o menor desses números é
Provas
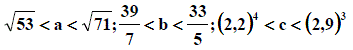
Sejam a, b e c números naturais, tais que: 
Provas
Seja “"a"” um número natural que apresenta apenas um único múltiplo natural e “"b"” um número natural que apresenta um único divisor natural; o valor da expressão 2a -– b é igual a
Provas
As raízes das equações 3x - – a = 8 e 2x -– b = 3 são iguais. Sendo a -– b = 1, então a + b é igual a
Provas
Caderno Container