Magna Concursos

Foram encontradas 40 questões.

2525569 Ano: 2016
Disciplina: Matemática
Banca: UEPB
Orgão: Pref. Alagoinha-PB
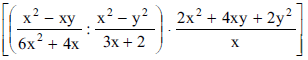
Escrevendo a expressão Enunciado 2926888-1 em sua forma mais simples encontramos
 

Provas

Questão presente nas seguintes provas
Considere a seguinte tabela-verdade:
p → q p p ^ q p v q ((p → q) v p))
V V V V ?
F V F V
V F F V
V F F F
Qual das alternativas corresponde ao resultado da operação lógica?
 

Provas

Questão presente nas seguintes provas
2524815 Ano: 2016
Disciplina: Matemática
Banca: UEPB
Orgão: Pref. Alagoinha-PB
Duas retas r e s se interceptam em um ponto P segundo um ângulo de 60°. Se um ponto Q se encontra numa das retas a !$ 8 \sqrt {3} cm !$ do ponto P, a distância entre o ponto Q e a outra reta é igual a
 

Provas

Questão presente nas seguintes provas
2522667 Ano: 2016
Disciplina: Matemática
Banca: UEPB
Orgão: Pref. Alagoinha-PB
Seno U = R, o conjunto solução da desigualdade 52x+1-6.5x+1<0 é igual a
 

Provas

Questão presente nas seguintes provas
2522510 Ano: 2016
Disciplina: Matemática
Banca: UEPB
Orgão: Pref. Alagoinha-PB
Descontos sucessivos de 10%, 10% e 10%, representam um desconto único de
 

Provas

Questão presente nas seguintes provas
Leia o texto a seguir para responder à questão.
Texto
Baleia
A cachorra Baleia estava para morrer. Tinha emagrecido, o pelo caíra-lhe em vários pontos, as costelas avultavam num fundo róseo, onde manchas escuras supuravam e sangravam, cobertas de moscas. As chagas da boca e a inchação dos lábios dificultavam-lhe a comida e a bebida.
Por isso Fabiano imaginara que ela estivesse com um princípio de hidrofobia e amarrara-lhe no pescoço um rosário de sabugos de milho queimados. Mas Baleia, sempre de mal a pior, roçavase nas estacas do curral ou metia-se no mato, impaciente, enxotava os mosquitos sacudindo as orelhas murchas, agitando a cauda pelada e curta, grossa na base, cheia de moscas, semelhante a uma cauda de cascavel.
Então Fabiano resolveu matá-la. Foi buscar a espingarda de pederneira, lixou-a, limpou-a com o saca-trapo e fez menção de carregá-la bem para a cachorra não sofrer muito.
Sinhá Vitória fechou-se na camarinha, rebocando os meninos assustados, que adivinhavam desgraça e não se cansavam de repetir a mesma pergunta:
- Vão bulir com a Baleia?
Tinham visto o chumbeiro e o polvarinho, os modos de Fabiano afligiam-nos, davam-lhes a suspeita de que Baleia corria perigo.
RAMOS, Graciliano. Vidas secas. Rio de Janeiro: Record, 2002. p. 85. (Fragmento)
Em relação ao tipo de discurso utilizado no trecho:
“Sinhá Vitória fechou-se na camarinha, rebocando os meninos assustados, que adivinhavam desgraça e não se cansavam de repetir a mesma pergunta:
- Vão bulir com a Baleia?” podemos classifica-lo corretamente como:
 

Provas

Questão presente nas seguintes provas
2521265 Ano: 2016
Disciplina: Matemática
Banca: UEPB
Orgão: Pref. Alagoinha-PB
O domínio da função de R → R dada por !$ f(x) = log \dfrac {x-1} {x^2 - 5x + 6} !$ é igual a
 

Provas

Questão presente nas seguintes provas
Leia o texto a seguir para responder à questão.
Texto
Por que, com o tempo, os pães endurecem e os biscoitos amolecem?
Alguns alimentos têm as características modificadas quando entram em contato com o ar porque ocorre uma troca de umidade. Os pães ficam duros porque têm muita água, e os biscoitos amolecem devido ao fato de quase não levarem água.
"Isso decorre da própria diferença na composição desses produtos", afirma a química Cláudia Moraes de Rezende, da Universidade Federal do Rio de Janeiro (UFRJ). O biscoito que fica exposto ao ar absorve a umidade e perde a crocância. Em comparação, o pão francês tende a perder água e ficar duro. A quantidade de açúcar, existente na composição de pães e biscoitos, também faz diferença. "Os biscoitos têm bastante, o que favorece a absorção de água. Já o pãozinho tem pouco açúcar e bastante amido. Este último sofre modificações na sua organização estrutural, que estimulam o endurecimento", diz. Para não perder o apetite na hora do lanche, nada melhor do que devorar o pão francês bem quentinho, assim que ele chegar da padaria. Quanto aos biscoitos, a dica é mantê-los guardados na embalagem, em pote de vidro ou dentro da geladeira à espera de serem consumidos.
Galileu, São Paulo, n. 214, p. 30, maio 2009.
Leia estes trechos do texto, e marque ( V) ou ( F), conforme sejam verdadeiras ou falsas as afirmações a seguir.
Trecho 1
“Para não perder o apetite na hora do lanche, nada melhor do que devorar o pão francês bem quentinho, assim que ele chegar da padaria.
Trecho 2
“Quanto aos biscoitos, a dica é mantê-los guardados na embalagem, em pote de vidro ou dentro da geladeira à espera de serem consumidos.”
( ) “assim que ele chegar da padaria é uma oração adverbial que indica tempo. (trecho 1)
( ) No trecho 1, o enunciado revela um efeito de subjetividade em relação à maneira de comer o pão.
( ) No trecho 2, o conectivo “ou” revela uma exclusão: ou manter os biscoitos guardados na embalagem, em pote de vidro ou dentro da geladeira, ou seja, uma coisa ou outra.
Está CORRETA a alternativa que contém a sequência:
 

Provas

Questão presente nas seguintes provas
2519814 Ano: 2016
Disciplina: Matemática
Banca: UEPB
Orgão: Pref. Alagoinha-PB
A soma dos termos da progressão geométrica !$ \left ( 1, - \dfrac{1}{4} , \dfrac {1} {16}, - \dfrac {1} {64} , ... \right ) !$ é igual a
 

Provas

Questão presente nas seguintes provas
Leia o texto a seguir para responder à questão.
Texto
Baleia
A cachorra Baleia estava para morrer. Tinha emagrecido, o pelo caíra-lhe em vários pontos, as costelas avultavam num fundo róseo, onde manchas escuras supuravam e sangravam, cobertas de moscas. As chagas da boca e a inchação dos lábios dificultavam-lhe a comida e a bebida.
Por isso Fabiano imaginara que ela estivesse com um princípio de hidrofobia e amarrara-lhe no pescoço um rosário de sabugos de milho queimados. Mas Baleia, sempre de mal a pior, roçava-se nas estacas do curral ou metia-se no mato, impaciente, enxotava os mosquitos sacudindo as orelhas murchas, agitando a cauda pelada e curta, grossa na base, cheia de moscas, semelhante a uma cauda de cascavel.
Então Fabiano resolveu matá-la. Foi buscar a espingarda de pederneira, lixou-a, limpou-a com o saca-trapo e fez menção de carregá-la bem para a cachorra não sofrer muito.
Sinhá Vitória fechou-se na camarinha, rebocando os meninos assustados, que adivinhavam desgraça e não se cansavam de repetir a mesma pergunta:
- Vão bulir com a Baleia?
Tinham visto o chumbeiro e o polvarinho, os modos de Fabiano afligiam-nos, davam-lhes a suspeita de que Baleia corria perigo.
RAMOS, Graciliano. Vidas secas. Rio de Janeiro: Record, 2002. p. 85. (Fragmento)
As sequências linguísticas constituem um texto se houver, entre outros recursos, o emprego de conectores gramaticais adequados que estabelecem nexo entre elas ou remetem a certas palavras ou enunciados desse mesmo texto. Marque (V) ou (F), conforme sejam verdadeiras ou falsas as afirmações a seguir quanto aos nexos e referenciações do texto.
( ) No primeiro parágrafo, o pronome “lhe” é empregado duas vezes, tendo o mesmo referente, e ambos os registros representam elos coesivos referenciais.
( ) O pronome relativo “onde” estabelece uma relação semântica de tempo, por isso, não representa um elo de coesão.
( ) O pronome “se”, em seus dois registros, equivale a “si mesma”, daí o sentido de reciprocidade.
( ) No segundo parágrafo o conector “mas” expressa uma oposição em relação ao que foi dito anteriormente.
( ) O terceiro parágrafo é iniciado com um conector sequencial e expressa uma relação de finalidade em relação ao parágrafo anterior.
Está CORRETA a alternativa que contém a sequência:
 

Provas

Questão presente nas seguintes provas