Foram encontradas 414 questões.
Uma placa está sobre uma plataforma plana e horizontal, conforme visto na figura.
Entre a placa e a superfície da plataforma existe um filme de óleo viscoso com uma espessura regular e
constante de 1 mm.
Uma lata de areia está ligada à placa por um único fio flexível e inextensível. Foi verificado que este balde desce sob a ação da gravidade a uma velocidade constante de 0,02 m/s.
Dados:
• área da superfície da placa: 6 m²;
• viscosidade dinâmica constante do óleo, μ: 4 N.s/m²;
• densidade da areia: 1600 kg/m³;
• aceleração da gravidade, g: 10 m/s²;
• peso do balde é desprezível;
• considerar a polia livre de atrito;
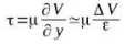
• tensão de cisalhamento:
onde, ε é a espessura do filme e ΔV é a diferença de velocidade a uma distância de superfícies.
Qual a quantidade de areia no balde?
Uma lata de areia está ligada à placa por um único fio flexível e inextensível. Foi verificado que este balde desce sob a ação da gravidade a uma velocidade constante de 0,02 m/s.
Dados:
• área da superfície da placa: 6 m²;
• viscosidade dinâmica constante do óleo, μ: 4 N.s/m²;
• densidade da areia: 1600 kg/m³;
• aceleração da gravidade, g: 10 m/s²;
• peso do balde é desprezível;
• considerar a polia livre de atrito;
• tensão de cisalhamento:
onde, ε é a espessura do filme e ΔV é a diferença de velocidade a uma distância de superfícies.
Qual a quantidade de areia no balde?
Provas
Questão presente nas seguintes provas
Sobre o Decreto Federal n.º 6.514/2008, é correto afirmar:
Provas
Questão presente nas seguintes provas
Instrução: Leia o texto a seguir para responder à questão.




(FONTE: BARROS, A.A. II – Borda da calha do leito regular: o novo parâmetro para medir a área de preservação permanente. p.75-76. In: RAJÃO,
R.; DEL GIUDICE, R.; VAN DER HOFF, R.; CARVALHO, E.B. Uma breve história da Legislação Florestal Brasileira. Florianópolis, SC:
Expressão, 2021. 192p. Disponível em https://observatorioflorestal.org.br/es/livro-uma-breve-historia-sobre-a-legislacao-florestal-brasileira/)
I- A Lei n.º 12.651/2012 alterou a medição da APP considerando leito regular a calha onde correm regularmente as águas do curso d’água durante o ano e não mais o nível mais alto, nas cheias, com diminuição da área da APP.
II- O conceito de calha, ilustrado na figura, propõe um novo parâmetro para medir a APP prevista na Lei n.º 12.651/2012, de modo a ampliar a área de preservação permanente e garantir os benefícios de sua proteção.
III- A proposta de usar a borda da calha do leito regular para medir a APP será menos protetiva, pois, ao considerar o canal de estiagem e não a vazão de margem plena, ilustrada na figura, resultará em menor área de APP.
IV- O critério utilizado para a medição da APP pela Lei n.º 12.651/2012 é o mesmo utilizado no antigo Código Florestal e, desta forma, não afetou a área a ser tratada como área de preservação permanente.
Estão corretas as afirmativas
Provas
Questão presente nas seguintes provas
Instrução: Leia o texto a seguir para responder à questão.




(FONTE: BARROS, A.A. II – Borda da calha do leito regular: o novo parâmetro para medir a área de preservação permanente. p.75-76. In: RAJÃO,
R.; DEL GIUDICE, R.; VAN DER HOFF, R.; CARVALHO, E.B. Uma breve história da Legislação Florestal Brasileira. Florianópolis, SC:
Expressão, 2021. 192p. Disponível em https://observatorioflorestal.org.br/es/livro-uma-breve-historia-sobre-a-legislacao-florestal-brasileira/)
Provas
Questão presente nas seguintes provas
Segundo a Resolução Conama 01/86, impacto ambiental refere-se a qualquer alteração das
Provas
Questão presente nas seguintes provas
Sobre as abordagens consideradas na elaboração de um estudo de impacto ambiental, é correto afirmar:
Provas
Questão presente nas seguintes provas
Sobre silvicultura de precisão, analise as afirmativas.
I- Silvicultura de precisão é um modelo de cultivo que considera as características da espécie associadas às variações espaciais da área do plantio florestal, e auxilia as intervenções pontuais para maior produtividade.
II- Áreas com menor variabilidade para fatores abióticos e eventual ocorrência de fatores bióticos, e que pouco afetam a produtividade da espécie florestal plantada, são as mais indicadas para utilizar a silvicultura de precisão.
III- Silvicultura de precisão resulta em uma única medida de tendência central e de dispersão em relação à silvicultura tradicional e, portanto, facilita o processo para intervenção, para maiores produção e produtividade.
IV- Os mapas temáticos gerados com a silvicultura de precisão apresentam as áreas distintas para os fatores estudados, como: variações de solo para delimitação de talhões, correção/fertilização e tratamentos silviculturais.
Estão corretas as afirmativas
I- Silvicultura de precisão é um modelo de cultivo que considera as características da espécie associadas às variações espaciais da área do plantio florestal, e auxilia as intervenções pontuais para maior produtividade.
II- Áreas com menor variabilidade para fatores abióticos e eventual ocorrência de fatores bióticos, e que pouco afetam a produtividade da espécie florestal plantada, são as mais indicadas para utilizar a silvicultura de precisão.
III- Silvicultura de precisão resulta em uma única medida de tendência central e de dispersão em relação à silvicultura tradicional e, portanto, facilita o processo para intervenção, para maiores produção e produtividade.
IV- Os mapas temáticos gerados com a silvicultura de precisão apresentam as áreas distintas para os fatores estudados, como: variações de solo para delimitação de talhões, correção/fertilização e tratamentos silviculturais.
Estão corretas as afirmativas
Provas
Questão presente nas seguintes provas
Sobre a Licença Prévia (LP), prevista na Resolução CONAMA 237/1997, é correto afirmar:
Provas
Questão presente nas seguintes provas
Sobre a classificação de sítios florestais no manejo de florestas plantadas, analise as afirmativas.
I- Uma característica relevante para utilizar a altura dominante em detrimento da altura média na classificação de sítios florestais está associada à resposta ao desbaste por alto.
II- O índice de sítio é a denominação da medida quantitativa da qualidade do sítio com base na altura das árvores dominantes em uma idade índice.
III- As curvas monomórficas na classificação de sítios supõem que a tendência de crescimento em altura dominante entre os sítios seja igual e as curvas geradas para classificação sejam equidistantes em cada idade.
IV- A qualidade do sítio é a soma total dos fatores edáficos, biológicos e climáticos que afetam as plantas, ou seja, a soma dos fatores efetivos cuja dominância pode variar.
Estão corretas as afirmativas
I- Uma característica relevante para utilizar a altura dominante em detrimento da altura média na classificação de sítios florestais está associada à resposta ao desbaste por alto.
II- O índice de sítio é a denominação da medida quantitativa da qualidade do sítio com base na altura das árvores dominantes em uma idade índice.
III- As curvas monomórficas na classificação de sítios supõem que a tendência de crescimento em altura dominante entre os sítios seja igual e as curvas geradas para classificação sejam equidistantes em cada idade.
IV- A qualidade do sítio é a soma total dos fatores edáficos, biológicos e climáticos que afetam as plantas, ou seja, a soma dos fatores efetivos cuja dominância pode variar.
Estão corretas as afirmativas
Provas
Questão presente nas seguintes provas
Sobre as condicionantes da intensidade máxima de corte, prevista no artigo 4º da Resolução CONAMA 406
de 2009, é correto afirmar:
Provas
Questão presente nas seguintes provas
Cadernos
Caderno Container