Foram encontradas 414 questões.
Dentre as muitas moléculas biológicas com anéis aromáticos policíclicos, a molécula do quinino, um
medicamento com propriedades antitérmicas, antimaláricas e analgésicas, é uma delas.

Assinale a alternativa que apresenta as funções orgânicas observadas na fórmula estrutural do quinino.

Assinale a alternativa que apresenta as funções orgânicas observadas na fórmula estrutural do quinino.
Provas
Questão presente nas seguintes provas
Analise as estruturas a seguir.

Assinale a alternativa que apresenta o tipo correto desses polímeros.
Provas
Questão presente nas seguintes provas
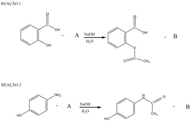
Analise as reações 1 e 2 a seguir.

O reagente A nas reações 1 e 2 é o mesmo, assim como é o mesmo o produto B nas reações 1 e 2. O reagente A e o produto B, são respectivamente:
Provas
Questão presente nas seguintes provas
Uma molécula que apresenta uma estrutura pentacoordenada, do tipo AX5 (onde A = metal de transição e X
é um ligante neutro), pode adotar duas geometrias possíveis: piramidal de base quadrada ou bipiramidal
trigonal. A distinção se um composto tem uma ou outra geometria é feita por
Provas
Questão presente nas seguintes provas
A respeito dos conceitos de carga nuclear efetiva (Zef), marque V para as afirmativas verdadeiras e F para as
falsas.
( ) A carga nuclear efetiva aumenta da esquerda para a direita em qualquer período da tabela periódica. ( ) Em um grupo, a carga nuclear efetiva que atua sobre os elétrons de valência varia muito menos do que em um período da tabela periódica. ( ) A carga nuclear efetiva diminui ligeiramente de cima para baixo em um grupo da tabela periódica. ( ) A carga nuclear efetiva que atua sobre os elétrons da camada mais externa é maior do que aquela que atua sobre os elétrons internos por causa da blindagem exercida pelos elétrons internos.
Assinale a sequência correta.
( ) A carga nuclear efetiva aumenta da esquerda para a direita em qualquer período da tabela periódica. ( ) Em um grupo, a carga nuclear efetiva que atua sobre os elétrons de valência varia muito menos do que em um período da tabela periódica. ( ) A carga nuclear efetiva diminui ligeiramente de cima para baixo em um grupo da tabela periódica. ( ) A carga nuclear efetiva que atua sobre os elétrons da camada mais externa é maior do que aquela que atua sobre os elétrons internos por causa da blindagem exercida pelos elétrons internos.
Assinale a sequência correta.
Provas
Questão presente nas seguintes provas
A cocaína, cuja estrutura molecular é visualizada a seguir, é um narcótico que causa dependência.

Supondo que a Polícia Federal fez uma apreensão e a amostra de cocaína pura foi analisada por combustão, a porcentagem aproximada de átomos de carbono, hidrogênio, nitrogênio e oxigênio, respectivamente, na molécula da cocaína, é:

Supondo que a Polícia Federal fez uma apreensão e a amostra de cocaína pura foi analisada por combustão, a porcentagem aproximada de átomos de carbono, hidrogênio, nitrogênio e oxigênio, respectivamente, na molécula da cocaína, é:
Provas
Questão presente nas seguintes provas
Entre os anos de 2012 e 2014, foi desenvolvido um mapeamento de riscos geológicos pelo Serviço
Geológico do Brasil (SGB-CPRM), com o objetivo de caracterizar movimentos de massa e enchentes, em
quinze municípios do estado do Mato Grosso. A pesquisa foi desenvolvida pelo SGB-CPRM em parceria
com o Instituto de Pesquisas Tecnológicas de São Paulo, seguindo suas próprias metodologias. Sobre as
características da Geodiversidade dos municípios abaixo citados, quanto aos ambientes geológicos, padrões
de relevo e ou hidrológicos, numere a coluna da direita de acordo com a da esquerda.
1. Colniza 2. Confresa 3. Feliz Natal 4. Santo Antônio do Leverger 5. Cuiabá
( ) A geologia indica granitos metaforizados paleoproterozoicos da Suíte Intrusiva São Pedro associados aos sienogranitos mesoproterozoicos (Aripuanã). O relevo municipal está nos domínios de colinas amplas e suaves, com declividades de 3 a 10 metros e amplitudes entre 20 e 50 metros, drenados por tributários dos rios Aripuanã e Roosevelt, Bacia Amazônica.
( ) A geologia conta com filitos e metarenitos neoproterozoicos do Grupo Cuiabá capeados pelos depósitos sedimentares cenozóicos da Formação Pantanal e depósitos aluvionares mais recentes. O relevo do município está inserido nos domínios de planícies fluviais ou fluviolacustres com declividade de 0 a 3 graus e amplitude zero, associadas a superfícies aplainadas degradadas com declividades de 0 a 5 graus e amplitudes topográficas de 10 a 30 metros. O rio Cuiabá e seus afluentes são a principal influência hidrológica da região, que pertence à bacia do Paraná.
( ) A geologia aponta para a presença de rochas sedimentares paleoproterozoicas da Formação Gorotire envolvidas por rochas vulcanoclásticas paleoproterozoicas do Grupo Iriri, ambas capeadas por depósitos aluvionares da formação Araguaia. O relevo resultante está associado a superfícies aplainadas degradadas com declividade de 0 a 5 graus e terraços aluviais com amplitudes de 2 a 20 metros. Os terrenos são drenados pelos tributários do rio Araguaia, bacia Tocantins.
( ) A geologia aponta para a presença de arenitos e siltitos mesozoicos da Formação Salto das Nuvens recobertas por sedimentos inconsolidados cenozoicos da Formação Ronuro. O relevo municipal é representado por chapadas, platôs e baixos platôs dissecados, com declividades não superior a 5 graus e amplitudes não maiores que 50 metros.
( ) A geologia aponta para a presença de rochas metamórficas do grupo Cuiabá (subunidades 5 e 6) capeadas pelos depósitos aluvionares da Formação Pantanal, e seu relevo figura no domínio das colinas amplas e suaves com 3 a 10 graus de declividade e 20 a 50 metros de amplitude. A principal influência hidrológica está associada ao rio Cuiabá e seus tributários, todos associados à bacia do Paraná.
Marque a sequência correta.
1. Colniza 2. Confresa 3. Feliz Natal 4. Santo Antônio do Leverger 5. Cuiabá
( ) A geologia indica granitos metaforizados paleoproterozoicos da Suíte Intrusiva São Pedro associados aos sienogranitos mesoproterozoicos (Aripuanã). O relevo municipal está nos domínios de colinas amplas e suaves, com declividades de 3 a 10 metros e amplitudes entre 20 e 50 metros, drenados por tributários dos rios Aripuanã e Roosevelt, Bacia Amazônica.
( ) A geologia conta com filitos e metarenitos neoproterozoicos do Grupo Cuiabá capeados pelos depósitos sedimentares cenozóicos da Formação Pantanal e depósitos aluvionares mais recentes. O relevo do município está inserido nos domínios de planícies fluviais ou fluviolacustres com declividade de 0 a 3 graus e amplitude zero, associadas a superfícies aplainadas degradadas com declividades de 0 a 5 graus e amplitudes topográficas de 10 a 30 metros. O rio Cuiabá e seus afluentes são a principal influência hidrológica da região, que pertence à bacia do Paraná.
( ) A geologia aponta para a presença de rochas sedimentares paleoproterozoicas da Formação Gorotire envolvidas por rochas vulcanoclásticas paleoproterozoicas do Grupo Iriri, ambas capeadas por depósitos aluvionares da formação Araguaia. O relevo resultante está associado a superfícies aplainadas degradadas com declividade de 0 a 5 graus e terraços aluviais com amplitudes de 2 a 20 metros. Os terrenos são drenados pelos tributários do rio Araguaia, bacia Tocantins.
( ) A geologia aponta para a presença de arenitos e siltitos mesozoicos da Formação Salto das Nuvens recobertas por sedimentos inconsolidados cenozoicos da Formação Ronuro. O relevo municipal é representado por chapadas, platôs e baixos platôs dissecados, com declividades não superior a 5 graus e amplitudes não maiores que 50 metros.
( ) A geologia aponta para a presença de rochas metamórficas do grupo Cuiabá (subunidades 5 e 6) capeadas pelos depósitos aluvionares da Formação Pantanal, e seu relevo figura no domínio das colinas amplas e suaves com 3 a 10 graus de declividade e 20 a 50 metros de amplitude. A principal influência hidrológica está associada ao rio Cuiabá e seus tributários, todos associados à bacia do Paraná.
Marque a sequência correta.
Provas
Questão presente nas seguintes provas
Sobre sistemas de referência espacial, segundo o Instituto Nacional de Pesquisas Espaciais (INPE), marque
V para as afirmativas verdadeiras e F para as falsas.
( ) SAD69 é um sistema de referência geocêntrico que tem como referência um ponto na superfície da Terra. ( ) SIRGAS2000 é um sistema de referência topocêntrico que tem como referência um ponto no centro de massa da Terra. ( ) Os sistemas WGS84 e SIRGAS2000 são praticamente idênticos, pois utilizam o mesmo elipsoide de referência (GRS80), com alguns centímetros de diferença no valor do achatamento. ( ) Os erros de posicionamento entre os sistemas de SIRGAS2000 para SAD69 é de aproximadamente 65 metros no território brasileiro. ( ) Os erros de posicionamento entre os sistemas de Córrego Alegre para SAD69 é de aproximadamente 60 metros.
Assinale a sequência correta.
( ) SAD69 é um sistema de referência geocêntrico que tem como referência um ponto na superfície da Terra. ( ) SIRGAS2000 é um sistema de referência topocêntrico que tem como referência um ponto no centro de massa da Terra. ( ) Os sistemas WGS84 e SIRGAS2000 são praticamente idênticos, pois utilizam o mesmo elipsoide de referência (GRS80), com alguns centímetros de diferença no valor do achatamento. ( ) Os erros de posicionamento entre os sistemas de SIRGAS2000 para SAD69 é de aproximadamente 65 metros no território brasileiro. ( ) Os erros de posicionamento entre os sistemas de Córrego Alegre para SAD69 é de aproximadamente 60 metros.
Assinale a sequência correta.
Provas
Questão presente nas seguintes provas
Os minérios, tanto metálicos como não metálicos, são utilizados em uma infinidade de produtos pelo
homem, na construção civil e bens industriais. No entanto, como a mineração em geral trabalha bem distante
das cidades, poucas pessoas se dão conta dos seus extraordinários impactos ambientais. Sobre os impactos
ambientais negativos causados pela mineração, marque V para as afirmativas verdadeiras e F para as falsas.
( ) Minerações de chumbo e zinco contaminam o solo, visto que possuem grande concentração de arsênio em seus rejeitos. ( ) Provocam alterações no fluxo e reservas da água subterrânea em minerações de metais. ( ) As toxicidades por metais pesados são circunscritas apenas às áreas de mineração ativa. ( ) Sulfetos metálicos (pirita, calcopirita, galena) oxidam-se por reações com águas circulantes, formando ácido sulfúrico, causando drenagens ácidas e intensa mobilização de metais. ( ) A exploração de agregados para construção civil acarreta destruição da mata ciliar (extração de areias), vibrações, ruídos, emissão de particulados, transporte, conflitos com uso e ocupação do solo.
Assinale a sequência correta.
( ) Minerações de chumbo e zinco contaminam o solo, visto que possuem grande concentração de arsênio em seus rejeitos. ( ) Provocam alterações no fluxo e reservas da água subterrânea em minerações de metais. ( ) As toxicidades por metais pesados são circunscritas apenas às áreas de mineração ativa. ( ) Sulfetos metálicos (pirita, calcopirita, galena) oxidam-se por reações com águas circulantes, formando ácido sulfúrico, causando drenagens ácidas e intensa mobilização de metais. ( ) A exploração de agregados para construção civil acarreta destruição da mata ciliar (extração de areias), vibrações, ruídos, emissão de particulados, transporte, conflitos com uso e ocupação do solo.
Assinale a sequência correta.
Provas
Questão presente nas seguintes provas
O Serviço Geológico do Brasil (SGB– CPRM) tem realizado trabalhos técnico-científicos na área de risco
geológico, elaborando cartas geotécnicas, cartas de perigo, cartas de suscetibilidade, setorização de riscos,
aplicados à prevenção de desastres e planejamento urbano. Sobre os conceitos fundamentais de áreas de
risco para redução de desastres, numere a coluna da direita de acordo com a esquerda.
1. Evento 2. Acidente 3. Vulnerabilidade 4. Perigo 5. Suscetibilidade
( ) Fenômeno com características, dimensões e localização geográfica registrada no tempo. ( ) Condição com potencial para causar perdas e danos. ( ) No âmbito das geociências, pode ser sintetizado como a predisposição ou propensão dos terrenos ao desenvolvimento de um fenômeno ou processo do meio físico, podendo ser expressa segundo classes de probabilidade de ocorrência. Não indica frequência de ocorrência. ( ) Fenômeno que gerou perdas e danos ( ) Grau de perda para um dado elemento ou grupo dentro de uma área passível de ser afetada por um determinado processo.
Marque a sequência correta.
1. Evento 2. Acidente 3. Vulnerabilidade 4. Perigo 5. Suscetibilidade
( ) Fenômeno com características, dimensões e localização geográfica registrada no tempo. ( ) Condição com potencial para causar perdas e danos. ( ) No âmbito das geociências, pode ser sintetizado como a predisposição ou propensão dos terrenos ao desenvolvimento de um fenômeno ou processo do meio físico, podendo ser expressa segundo classes de probabilidade de ocorrência. Não indica frequência de ocorrência. ( ) Fenômeno que gerou perdas e danos ( ) Grau de perda para um dado elemento ou grupo dentro de uma área passível de ser afetada por um determinado processo.
Marque a sequência correta.
Provas
Questão presente nas seguintes provas
Cadernos
Caderno Container