Foram encontradas 895 questões.
Considerando uma lista dos diretórios comuns no SO Linux que estão diretamente sob o diretório root (/), julgue o item seguinte.
Considere a planilha seguinte.

Em face desses dados, é correto afirmar que, no Microsoft Excel 365, ao se selecionarem as células de A1 a B4, acionar a funcionalidade Remover duplicatas na guia Dados, em seguida, selecionar as colunas A e B e, por fim, clicar em OK, o resultado será o apresentado a seguir.

Provas
Disciplina: TI - Sistemas Operacionais
Banca: CESPE / CEBRASPE
Orgão: POLC-AL
O diretório /mnt é um sistema de arquivos montado manualmente no disco rígido, e o /proc é um diretório dinâmico especial que mantém informação sobre o estado do sistema, incluindo os processos atualmente executados.
Provas

Para a validação de um método analítico por cromatografia líquida de alta eficiência, foi obtida a curva analítica mostrada na figura acima. Com base nessas informações, julgue o item a seguir.
O limite de detecção deste método é 0,0659 µg/mL.
Provas

Para a validação de um método analítico por cromatografia líquida de alta eficiência, foi obtida a curva analítica mostrada na figura acima. Com base nessas informações, julgue o item a seguir.
Os dados apresentados atendem aos parâmetros de exatidão e sensibilidade.
Provas

Para a validação de um método analítico por cromatografia líquida de alta eficiência, foi obtida a curva analítica mostrada na figura acima. Com base nessas informações, julgue o item a seguir.
Eliminando-se o terceiro ponto da curva (10 µg/mL), que não apresenta precisão aceitável, o parâmetro de linearidade será atendido.
Provas

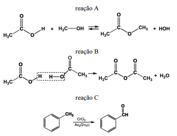
Em relação aos compostos orgânicos e às reações apresentadas a seguir, julgue o item subsequente.
Ácido carboxílico é o grupo funcional comum a todas as reações representadas.
Provas

Em relação aos compostos orgânicos e às reações apresentadas a seguir, julgue o item subsequente.
Tolueno, também denominado de metilbenzeno, é um composto aromático representado em C.
Provas

Em relação aos compostos orgânicos e às reações apresentadas a seguir, julgue o item subsequente.
Na reação B, a perda de uma molécula de água do ácido acético origina o anidrido etanoico.
Provas

Em relação aos compostos orgânicos e às reações apresentadas a seguir, julgue o item subsequente.
As reações A e C são reações de oxidação, ao passo que a reação B é uma desidratação cetônica.
Provas

Em relação aos compostos orgânicos e às reações apresentadas a seguir, julgue o item subsequente.
Na reação A, estão presentes os grupos funcionais ácido carboxílico, álcool e éster.
Provas
Caderno Container