Foram encontradas 90 questões.
A diferença de temperatura entre um corpo e o meio ambiente onde ele está é dada pela função T(t) = T0e–λt, onde T0 é a diferença entre as temperaturas do corpo e do ambiente no instante t = 0, e λ é uma constante. O corpo sem vida de um advogado foi encontrado em seu escritório, cuja temperatura ambiente se manteve em 24 °C. O legista chegou às 23h30min, mediu a temperatura do corpo que estava em 34 °C e anotou a informação T0=10. Uma hora depois, a temperatura do corpo era 33 °C. Supondo que a temperatura de uma pessoa viva seja 36 °C e usando ln(2) ≈ 0,7; ln(3) ≈ 1,1 e ln(5) ≈ 1,6, o legista pôde concluir, com base na função acima, que o horário da morte do advogado foi:
Provas
Uma empresa produz refrigerantes em lata na forma de um cilindro circular reto com R cm de raio e 20 cm de altura. Essa empresa decidiu comercializar seus refrigerantes em pacotes de oito unidades, dentro de uma caixa de papelão, cujas faces opostas são paralelas entre si. Por medida de economia, as latas serão embaladas como na figura.

Utilizando !$ \pi\ \approx\ 3 !$ e !$ \sqrt{3}\approx\ 1,7 !$, a diferença entre o volume da caixa e o volume das latas é, aproximadamente,
Provas
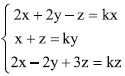
Para quantos valores de k o sistema linear

possui soluções não nulas?
Provas
Um avião com 100 lugares foi fretado para uma excursão. O valor pago por cada passageiro foi estabelecido como sendo R$ 400,00 mais R$ 5,00 por cada assento não ocupado. A receita máxima que a empresa conseguirá é
Provas
O time de futebol de um batalhão da Polícia Militar é formado, na sua maioria, por cabos, que cobram 80% dos pênaltis marcados a favor do time. A probabilidade de um pênalti ser convertido em gol é de 60% se o cobrador for um cabo, e 40% se não for. Marcado um pênalti para o time, a probabilidade de ele ser convertido em gol é
Provas
Um trabalhador resolveu investir em ações na Bolsa de Valores. No mês de março, investiu X reais na empresa A obtendo, no final do mês, X1 reais. No mês de abril, ele investiu X1 reais na empresa B obtendo, no final do mês, X2 reais, que foram investidos, em maio, na empresa C obtendo, no final do mês, X3 reais.
A valorização ou desvalorização das ações das empresas A, B e C, nos meses investidos pelo trabalhador, são dados no gráfico

O lucro obtido por este investidor foi de
Provas
Na figura, os valores de x e y são:

Provas
- FundamentosRazão e ProporçãoDivisão ProporcionalPartes Inversamente Proporcionais
- FundamentosPorcentagem
Em época de eleições são comuns discursos de candidatos dizendo que o aumento do número de policiais nas ruas faz diminuir o número de delitos cometidos. Admitindo que isso seja verdade e que as duas quantidades sejam inversamente proporcionais, se o número de policiais sofrer um acréscimo de 25%, o número de delitos cometidos sofrerá um decréscimo de
Provas
A figura mostra, no plano complexo, o círculo de centro na origem e raio 1 e mais cinco números complexos X, Y, Z, W, R.
Um desses cinco números é igual a !$ \dfrac{1}{Z} !$.

O complexo !$ \dfrac{1}{Z} !$ é igual a
Provas
Um trabalhador, para poder se aposentar, deve fazer a seguinte conta: somar sua idade com seu tempo de contribuição. Se essa soma der 95, ele pode solicitar aposentadoria. Supondo que Paulo começou a trabalhar e a contribuir para a previdência com 27 anos e nunca mais parou, ele poderá solicitar sua aposentadoria quando estiver, no mínimo, com
Provas
Caderno Container