Foram encontradas 1.080 questões.
Provas
.
Provas
.
Provas
.
Provas
.
Provas

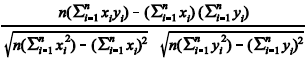
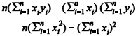
O coeficiente de correlação linear entre as variáveis T — tempo de experiência do auditor na atividade — e N — número anual de irregularidades detectadas pelo auditor — é superior a 0,75.
Provas

Aplicando-se a reta de melhor ajuste aos dados determinada pelo método dos mínimos quadrados pode-se afirmar que um auditor que tenha 20 anos de experiência na atividade identificará mais de dez irregularidades.
Provas

A discrepância no número anual de irregularidades detectadas, obtido entre o valor observado e aquele alcançado pela aplicação da reta de melhor ajuste aos dados determinada pelo método dos mínimos quadrados, para o terceiro auditor é inferior a 2.
Provas

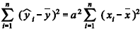
O estimador não viesado Se da variância dos valores observados para o número anual de irregularidades detectadas é superior a 12.
Provas

O estimador não viesado \(\widehat{S_e}\) da variância residual é inferior a 1.
Provas
Caderno Container