Foram encontradas 2.450 questões.

A figura acima ilustra parte da janela de um analisador de rede mostrando os dados de uma conexão TCP entre os hosts A (10.0.0.20) e B (164.0.0.130). Considerando que esses hosts tenham apenas os endereços IP mencionados, julgue os itens a seguir.
A conexão TCP é mostrada desde o seu estabelecimento até o seu encerramento, sendo que todos os segmentos TCP transmitidos são ilustrados pelo menos uma vez na figura.
Provas

A figura acima ilustra parte da janela de um analisador de rede mostrando os dados de uma conexão TCP entre os hosts A (10.0.0.20) e B (164.0.0.130). Considerando que esses hosts tenham apenas os endereços IP mencionados, julgue os itens a seguir.
É correto afirmar que existe, pelo menos, um roteador entre os dois hosts.
Provas

A figura acima ilustra parte da janela de um analisador de rede mostrando os dados de uma conexão TCP entre os hosts A (10.0.0.20) e B (164.0.0.130). Considerando que esses hosts tenham apenas os endereços IP mencionados, julgue os itens a seguir.
Os endereços MAC dos hosts A e B são, respectivamente, 00:01:F4:96:50:7F e 00:80:5F:31:D9:7C.
Provas
- Transmissão de DadosATM: Asynchronous Transfer Mode
- Transmissão de DadosComutação de Células, Circuitos e Pacotes
- Transmissão de DadosTransmissão de Multimídia, Streaming e VozQoS: Quality of Service
As redes de comunicação são formadas por um conjunto de equipamentos ativos que executam diversos protocolos e implementam diferentes tecnologias. Acerca das principais técnicas de comunicação usadas em redes de comunicação, julgue os itens que se seguem.
Um dos modelos de QoS mais bem-sucedidos em redes de comunicação de alta velocidade é o modelo ATM, no qual classes de serviço diferentes são definidas no nível da AAL (ATM adaptation layer) e refletem-se em reserva de recursos realizada para cada conexão ATM. Desse modo, uma conexão ATM para atender uma requisição da camada AAL só pode ser realizada se houver recursos disponíveis para atender a QoS solicitada na requisição. Esse modelo de QoS, no entanto, não pode ser aplicado a uma rede IP, pois o serviço IP é um serviço não-orientado a conexão.
Provas
- Equipamentos de RedeSwitch
- Protocolos e ServiçosAcesso ao MeioVLAN: Virtual LAN
- Transmissão de DadosComutação de Células, Circuitos e Pacotes
As redes de comunicação são formadas por um conjunto de equipamentos ativos que executam diversos protocolos e implementam diferentes tecnologias. Acerca das principais técnicas de comunicação usadas em redes de comunicação, julgue os itens que se seguem.
A topologia física da rede não reflete necessariamente a topologia lógica de interconexão em uma rede que opere por comutação de pacotes ou células.
Provas
As redes de comunicação são formadas por um conjunto de equipamentos ativos que executam diversos protocolos e implementam diferentes tecnologias. Acerca das principais técnicas de comunicação usadas em redes de comunicação, julgue os itens que se seguem.
Na atualidade, não faz mais sentido se falar em redes de comunicação com acesso compartilhado ao meio, pois as redes de comunicação projetadas para as mais diversas finalidades utilizam algum tipo de comutação, mesmo na alocação de canais de múltiplo acesso.
Provas
Julgue os itens que se seguem, relativos à reengenharia de sistemas e à segurança em informática.
Para o Windows 95 e o Windows 98, removendo o registro e reiniciando o sistema, o usuário receberá uma mensagem indicando que o registro deve ser reparado e terá permissão para alterá-lo, podendo assim modificar o sistema.
Provas
Julgue os itens que se seguem, relativos à reengenharia de sistemas e à segurança em informática.
O registro no Windows 98 é uma base de dados contendo informações acerca do sistema operacional. Consiste em dois arquivos, user.dat e system.dat, que podem ser editados pela ferramenta regedit. Para cada arquivo, existe um backup, e estes são nomeados, respectivamente, user.da0 e system.da0.
Provas

No desenvolvimento de banco de dados (BD) relacionais, a engenharia reversa de arquivo consiste na obtenção de um modelo entidade-relacionamento (ER) a partir de listas, relatórios ou BD antigos. Considerando que, no caso do controle de vendas para um supermercado, uma possível tabela de mercadorias é apresentada acima, julgue os itens subseqüentes, com relação a banco de dados relacionais.
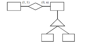
O diagrama ER a seguir ilustra um modelo ER, conforme concebido por Chen. Nesse diagrama, os retângulos representam entidades, o triângulo representa o conceito de generalização/especialização e o losango representa um relacionamento entre entidades.

Provas

No desenvolvimento de banco de dados (BD) relacionais, a engenharia reversa de arquivo consiste na obtenção de um modelo entidade-relacionamento (ER) a partir de listas, relatórios ou BD antigos. Considerando que, no caso do controle de vendas para um supermercado, uma possível tabela de mercadorias é apresentada acima, julgue os itens subseqüentes, com relação a banco de dados relacionais.
O modelo ER é um modelo informal que estabelece associações entre entidades do problema que se deseja tratar.
Provas
Caderno Container