Foram encontradas 100 questões.
- FundamentosPropriedades das Substâncias
- FundamentosTransformações: Estados Físicos e Fenômenos
- Química CinéticaRepresentação das Transformações Químicas
A partir dessas informações e considerando que MH = 1 g/mol, MC = 12 g/mol, e MO = 16 g/mol, que o volume molar de um gás ideal seja de 22,4 L e que todos os gases se comportem de forma ideal, julgue o item a seguir.
Para a combustão completa de 0,2 kg de n-heptano, o volume mínimo necessário de O2, nas CNTP, é de 44,8 L.
Provas
- FundamentosPropriedades das Substâncias
- FundamentosTransformações: Estados Físicos e Fenômenos
- Química CinéticaRepresentação das Transformações Químicas
A partir dessas informações e considerando que MH = 1 g/mol, MC = 12 g/mol, e MO = 16 g/mol, que o volume molar de um gás ideal seja de 22,4 L e que todos os gases se comportem de forma ideal, julgue o item a seguir.
Para que 0,2 mol de n-heptano seja totalmente consumido na queima, a massa de O2 disponível deve ser maior ou igual a 70,4 g.
Provas
- FundamentosPropriedades das Substâncias
- FundamentosTransformações: Estados Físicos e Fenômenos
- Química CinéticaRepresentação das Transformações Químicas
A partir dessas informações e considerando que MH = 1 g/mol, MC = 12 g/mol, e MO = 16 g/mol, que o volume molar de um gás ideal seja de 22,4 L e que todos os gases se comportem de forma ideal, julgue o item a seguir.
A massa de H2O (g) produzida pela queima de 500 g desse combustível, com excesso de O2, é maior que 700 g.
Provas
- FundamentosPropriedades das Substâncias
- FundamentosTransformações: Estados Físicos e Fenômenos
- Química CinéticaRepresentação das Transformações Químicas
A partir dessas informações e considerando que MH = 1 g/mol, MC = 12 g/mol, e MO = 16 g/mol, que o volume molar de um gás ideal seja de 22,4 L e que todos os gases se comportem de forma ideal, julgue o item a seguir.
Quando 1 mol do gás n-heptano é queimado com excesso de O2, 5 mol de CO2 (g) são formados.
Provas
A partir dessas informações e considerando que MH = 1 g/mol, MC = 12 g/mol, e MO = 16 g/mol, que o volume molar de um gás ideal seja de 22,4 L e que todos os gases se comportem de forma ideal, julgue o item a seguir.
A combustão do n-heptano é um tipo de reação química reversível.
Provas
A partir dessas informações e considerando que MH = 1 g/mol, MC = 12 g/mol, e MO = 16 g/mol, que o volume molar de um gás ideal seja de 22,4 L e que todos os gases se comportem de forma ideal, julgue o item a seguir.
A instalação e a operação de tanques subterrâneos de combustíveis requerem cuidados especiais para que se evitem vazamentos, principalmente nos postos à beira-mar, onde a proximidade da água salina pode acelerar o processo de corrosão devido às reações de oxirredução.
Provas
Em um escoamento incompressível, a densidade do fluido não depende nem do percurso, nem do tempo.
Provas
Transmissores pneumáticos são mais adequados para ambientes explosivos do que transmissores eletrônicos, os quais, por sua vez, oferecem uma faixa de medição comparativamente mais ampla.
Provas
Com base na situação hipotética precedente e em noções de metrologia, julgue o item a seguir.
Pelos dados da situação em apreço, conclui-se que o procedimento P1 permite obter valores de medição mais exatos que o procedimento P2.
Provas

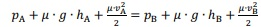
Tendo como base as informações da situação hipotética precedente e considerando que o valor da aceleração da gravidade é igual a g, julgue o seguinte item.
Para a situação apresentada, a relação entre pressão, velocidade e densidade do fluido é corretamente apresentada a seguir.
Provas
Caderno Container