Foram encontradas 820 questões.
Texto para as questões de 66 a 68
O controle em malha fechada é mais complexo. No entanto permite melhores resultados que o controle em malha aberta Com relação ao controle em malha fechada, assinale a opção incorreta.
Provas

Considerando as informações acima, julgue os itens a seguir.
I O processo mencionado para a produção de H 0 envolve a redução do H.
II Na reação apresentada acima, não há mudança no estado de oxidação do S após a remoção do filme superficial.
III O pH não interfere no processo de corrosão.
IV Considerando M(C) = 12 g/mol, M(N) = 14 g/mol, M(S) = 32 g/mol e M(Fe) = 56 g/mol, é correto afirmar que cada 4,4 g de FeS pode produzir 3,2 g de S -2 .
Estão certos apenas os itens
Provas

Na figura acima, é representada uma viga biapoiada, submetida a uma carga q, distribuída e de valor igual a 18 kgf/m. A seção transversal da viga é retangular, medindo 2 cm de largura e 6 cm de altura. Considerando essas informações e desprezando o peso próprio da viga, assinale a opção correta.
Provas

Provas

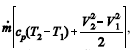
A figura acima ilustra um compressor que admite ar a velocidade, temperatura e pressão V 1 , T 1 e P 1 e o rejeita a velocidade, temperatura e pressão V 2 , T 2 e P 2 , respectivamente. Admitindo que o ar seja um gás ideal, assinale a opção correta com relação aos princípios de conservação da massa, do momento e da energia para um escoamento.
Provas
Texto para as questões 103 e 104

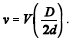
Um recipiente equipado com duas válvulas — A e B — e uma abertura de entrada — C — é montado sobre uma balança conforme ilustrado pela figura. A massa do recipiente quando vazio é m e seu volume interno é V . Os diâmetros das saídas A e B são iguais a d e o diâmetro da entrada C é igual a D . O fluido que preenche o recipiente é a água. Considere, quando necessário, que o escoamento na entrada C é uniforme e vertical e nas saídas A e B, uniforme e horizontal.
Com base na situação descrita no texto e na figura apresentada, assinale a opção correta com relação ao princípio de conservação da massa para um escoamento.
Provas

Provas
A óptica tem áreas de aplicação tradicionais como lentes corretivas para a visão e áreas mais modernas, que só se desenvolveram no século XX, como leitores de códigos de barra e discos compactos de áudio. Acerca da óptica, assinale a opção correta.
Provas
Considerando o circuito apresentado e, ainda, que a força eletromotriz (fem), em função do tempo — t —, é dada por V(t) = V 0
, assinale a opção correta.
Provas

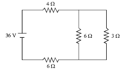
A corrente que passa no resistor de
do circuito ilustrado acima é igual a
Provas
Caderno Container