Foram encontradas 1.925 questões.
O uso adequado da iluminação zenital em áreas de trabalho é conveniente porque
Provas
Questão presente nas seguintes provas
Para ambientes de trabalho em que exista solicitação intelectual e atenção constantes e que não estejam relacionados na NBR 10152:1987, é recomendável que o nível de ruído aceitável, em dB(A), para efeito de conforto, seja de até
Provas
Questão presente nas seguintes provas
Dentre as diversas peças que constituem a tesoura do telhado, o frechal pode ser definido como peça
Provas
Questão presente nas seguintes provas
Um telhado ou cobertura ecológica que empregue o sistema laminar permite o uso de águas
Provas
Questão presente nas seguintes provas
As vagas para estacionamento de veículos que conduzam ou sejam conduzidos por pessoas com deficiência devem, de acordo com a NBR 9050:2004 (Acessibilidade a edificações, mobiliário, espaços e equipamentos urbanos), contar, no mínimo, com um espaço adicional de circulação, quando afastadas da faixa de travessia de pedestres, com a largura, em metros, de
Provas
Questão presente nas seguintes provas
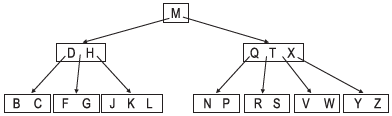
A figura abaixo representa uma árvore B em que as letras correspondem às chaves atualmente armazenadas em cada nó.

Considere que a cada nó está associado um identificador, um número no conjunto {1, 2, 3, 4, 5, 6, 7, 8, 9, 10}. O identificador de cada nó foi definido, durante a varredura da árvore, para imprimir suas chaves em ordem lexicográfica crescente. Durante essa varredura, quando um nó era acessado pela primeira vez para imprimir uma de suas chaves, ele era associado ao seu identificador. Como resultado, o nó que contém a primeira chave impressa, durante a varredura, possui identificador igual a 1, e assim por diante, de tal forma que o nó que contém as últimas chaves impressas possui identificador igual a 10.
Após a varredura para essa impressão, houve uma busca na árvore pela letra R.
Considerando-se a numeração de nós definida por aquela varredura, qual a sequência de nós examinada na busca por R?
Provas
Questão presente nas seguintes provas
Considere as sentenças da lógica de primeira ordem a seguir.
I - !$ ∃ x \, ∃y \, A(x,y)∧ ¬ ∃x \, A(x,x) !$
II - !$ ∀ x \, ∀y \, A(x,y)∧ ¬ ∀x \, A(x,x) !$
III - !$ ∀ x \, ∀y \, A(x,y) \rightarrow ¬ ∀ x \,A(x,x) !$
São insatisfatíveis APENAS as sentenças apresentadas em
Provas
Questão presente nas seguintes provas
- Fundamentos de ProgramaçãoEstruturas de DadosEstrutura de Dados: ÁrvoreÁrvore AVL
- Fundamentos de ProgramaçãoEstruturas de DadosEstrutura de Dados: ÁrvoreOperações em Árvores
Após a inserção de um nó, é necessário verificar cada um dos nós ancestrais desse nó inserido, relativamente à consistência com as regras estruturais de uma árvore AVL.
PORQUE
O fator de balanceamento de cada nó, em uma árvore AVL, deve pertencer ao conjunto formado por !$ \{−2, −1, 0, +1, +2\} !$.
Analisando-se as afirmações acima, conclui-se que
Provas
Questão presente nas seguintes provas
Considere as proposições a seguir.
I - !$ ¬(A ∧ B)↔(A \rightarrow ¬B) !$
II - !$ ¬(A \rightarrow ¬B) \rightarrow((A ∨¬B)∧(¬A∨B)) !$
III - !$ ((A \rightarrow B) \rightarrow A) \rightarrow A !$
IV - !$ ((A ∨ B)∧( ¬ A∨ C)) \rightarrow(B ∨ C) !$
São tautologias as proposições apresentadas em
Provas
Questão presente nas seguintes provas
Considere as cláusulas C1 e C2, representadas, respectivamente, pelos conjuntos !$ \{¬A(x),B(x)\} !$ e !$ \{A(g(y)),B(y)\} !$.
Um resolvente dessas cláusulas é
Provas
Questão presente nas seguintes provas
Cadernos
Caderno Container