Magna Concursos

Foram encontradas 3.569 questões.

80926 Ano: 2005
Disciplina: Geologia
Banca: CESGRANRIO
Orgão: Petrobrás
Provas:

Algumas das principais variáveis associadas às características das rochas reservatório, tais como porosidade e permeabilidade, podem assumir quaisquer valores dentro de um determinado range. Tais variáveis são denominadas:

 

Provas

Questão presente nas seguintes provas
80925 Ano: 2005
Disciplina: Estatística
Banca: CESGRANRIO
Orgão: Petrobrás
Provas:

Probabilidades são normalmente expressas como um número entre 0 e 1 ou, de forma equivalente, como um percentual entre 0 e 100%. Para ensaios simples, como lançar uma moeda e observar a face voltada para cima, podemos calcular as probabilidades dos possíveis resultados através dos métodos de análise combinatória. Para eventos complexos, como o resultado da perfuração de poços, indique o método usualmente empregado para estimar as probabilidades.

 

Provas

Questão presente nas seguintes provas
80924 Ano: 2005
Disciplina: Geologia
Banca: CESGRANRIO
Orgão: Petrobrás
Provas:

Sob condições de incidência normal, uma condição IMPOSSÍVEL para a onda transmitida é ter a:

 

Provas

Questão presente nas seguintes provas
80923 Ano: 2005
Disciplina: Geologia
Banca: CESGRANRIO
Orgão: Petrobrás
Provas:

As ondas sísmicas S possuem a peculiaridade de não se propagarem:

 

Provas

Questão presente nas seguintes provas
80922 Ano: 2005
Disciplina: Geologia
Banca: CESGRANRIO
Orgão: Petrobrás
Provas:

As chamadas ondas de corpo são as que se propagam dentro de um meio. Assinale a opção que contém apenas ondas de corpo.

 

Provas

Questão presente nas seguintes provas
80921 Ano: 2005
Disciplina: Geologia
Banca: CESGRANRIO
Orgão: Petrobrás
Provas:

Dadas duas massas pontuais M1 e M2 separadas por uma distância D, se as massas M1 e M2, bem como a distância D, forem duplicadas, o que acontece com a atração gravitacional?

 

Provas

Questão presente nas seguintes provas
80920 Ano: 2005
Disciplina: Geologia
Banca: CESGRANRIO
Orgão: Petrobrás
Provas:

Enunciado 3324744-1

Considerando o ciclo de rasamento ascendente acima esquematizado, qual a sucessão de fácies mais provável, da base para o topo?

 

Provas

Questão presente nas seguintes provas
80919 Ano: 2005
Disciplina: Geologia
Banca: CESGRANRIO
Orgão: Petrobrás
Provas:

A mais provável seqüência diagenética de uma camada de grainstone oolítico soterrada a 2.500 m e a porosidade dominante, considerando que os oolitos fazem parte de um hemiciclo transgressivo de 5ª ordem inserido no trato transgressivo de um ciclo de 3ª ordem, respectivamente, são:

 

Provas

Questão presente nas seguintes provas
80918 Ano: 2005
Disciplina: Geologia
Banca: CESGRANRIO
Orgão: Petrobrás
Provas:

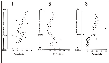
Enunciado 3324742-1

Os gráficos, 1, 2 e 3 acima ilustram dados de porosidade e profundidade, obtidos em arenitos em três poços, em uma mesma bacia. Analisando-os, conclui-se que o(s) gráfico(s):

 

Provas

Questão presente nas seguintes provas
80917 Ano: 2005
Disciplina: Geologia
Banca: CESGRANRIO
Orgão: Petrobrás
Provas:

Analise os parâmetros dos três corpos de arenitos a seguir, considerando que possuem a mesma espessura, estão a uma mesma profundidade e são portadores de óleo de 20 graus API.

· Arenito turbidítico com 20% de porosidade e 15% cimento de calcita.

· Arenito eólico com 21% de porosidade e 15% de cimento de clorita.

· Arenito fluvial com 22% de porosidade e 15% de cimento de anidrita.

A respeito desses arenitos, é correto afirmar que:

 

Provas

Questão presente nas seguintes provas