Foram encontradas 3.569 questões.
Responda a questão utilizando o croqui e os dados abaixo. Calcule os itens pedidos de acordo com o enunciado.


A distância do Ponto A ao Ponto C, em m, é:
Provas
Responda a questão utilizando o croqui e os dados abaixo. Calcule os itens pedidos de acordo com o enunciado.


As coordenadas (E, N) do Ponto B, em m, são:
Provas
| Temperatura (ºC) |
1000 | 950 | 900 | 850 | 800 | 750 | 700 | 650 | 600 | 500 | 400 | 200 | 50 | 30 | 0 |
| d.d.p (mV) |
9,6 | 9,0 | 8,4 | 7,9 | 7,3 | 6,8 | 6,3 | 5,7 | 5,2 | 4,2 | 3,2 | 1,4 | 0,3 | ,2 | 0 |
Os dados de calibração de um termopar de Pt - PtRh(10%) com a junção de referência a 0 ºC estão indicados na tabela acima. O termopar está instalado numa fornalha de craqueamento, estando sua junção fria à temperatura de 50 ºC. A leitura do termopar indica uma d.d.p de 6,0 mV. A temperatura real interna do reator, em ºC, é:
Provas
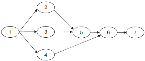
Com base no planejamento e detalhamento apresentado acima, o tempo de folga, em horas, do Técnico Artur, durante a realização do serviço de manutenção do equipamento, será:
Provas
Durante o planejamento e detalhamento de serviços de manutenção de um equipamento eletrônico, foi elaborado o seguinte diagrama e a respectiva tabela de atividades.

| Nº |
Atividade | Tempo de Execução | Técnico Executante |
| 1 | Desmontar o equipamento | 1 hora | Artur |
| 2 | Consertar o subconjunto I | 3 horas |
Barros |
| 3 | Consertar o subconjunto II | 2 horas | Carlos |
| 4 | Consertar o subconjunto III | 1 hora | Carlos |
| 5 | Montar os subconjuntos I e II | 4 horas | Artur |
| 6 | Acoplar o subconjunto III aos subconjuntos I e II | 2 horas | Artur |
| 7 | Pintar o equipamento | 1 hora | Artur |
Com base no planejamento e detalhamento apresentado acima, o tempo total, em horas, para o serviço de manutenção do equipamento é:
Provas

A figura acima mostra o programa em diagrama de contatos implementado num CLP e os gráficos temporais dos sinais X1 e X2. Em t = t0, todas as variáveis encontram-se em nível lógico 0. O comportamento correto para Y1 é:
Provas
De acordo com a norma ISA S 5.1 sobre simbologia para instrumentação industrial, a seqüência correta de cima para baixo de símbolos na tabela, correspondentes às variáveis físicas medidas, é:
| Variável física medida |
Símbolo |
| Vazão mássica de um fluido num duto |
|
| Nível de líquido num reservatório |
|
| Temperatura de um fluido |
|
| Tensão elétrica |
|
| Pressão de um fluido num duto |
Provas
O quadro abaixo apresenta as principais fases de Planejamento e Detalhamento de Serviços de Montagem e Manutenção.
| I |
Preparar o Diagrama PERT/CPM |
| II |
Apropriar custos |
| III |
Preparar o Cronograma de Gantt |
| IV |
Listar os Serviços |
| V |
Emitir uma lista de material |
A seqüência correta para o planejamento é:
Provas
O esquema básico de um sistema de monitoração, mostrado na figura abaixo, pode ser utilizado para identificar a necessidade de manutenção de um equipamento antes que ocorra uma falha mais grave.

Esta situação de monitoramento ocorre, tipicamente, na manutenção do tipo:
Provas
Um termopar tipo J e um transmissor de temperatura estão sendo usados para medir a temperatura de uma mistura líquida em tanque de aquecimento. O sinal de saída do transmissor varia na faixa de 4 mA a 20 mA, que corresponde à faixa de temperatura de 0 ºC a 150 ºC, medida pelo termopar. A sensibilidade ou ganho do conjunto termopar - transmissor é de:
Provas
Caderno Container