Foram encontradas 3.569 questões.
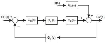
Observe o esquema abaixo.

Assinale a opção que corresponde à expressão correta da função de transferência !$ \large{CV(s)\over SP(s)} !$.
Provas

A expressão lógica que corresponde ao sinal D, no circuito combinacional acima, é:
Provas
Um retificador monofásico em ponte, sem capacitor de filtragem, é alimentado por uma tensão senoidal de 60 Hz e 120 Vrms. O valor médio da tensão CC de 108 V foi medido na saída do retificador. Alterando apenas a freqüência para 50 Hz, o novo valor médio, medido em Volts, será:
Provas

A figura acima mostra um circuito elétrico que utiliza um diodo Zenner de 10V. Os valores da corrente I, em mA, considerando primeiramente R = 2 k!$ Ω !$ e, em seguida, R = 7 k!$ Ω !$ , respectivamente, são:
Provas
Considere o amplificador operacional abaixo como ideal.

Se o sinal de entrada for !$ V_E(t)=5 \sin (ω t) !$, o sinal de saída !$ V_S(t) !$ do circuito será:
Provas
Considere as afirmativas a seguir sobre falhas que podem ocorrer em equipamentos no interior de painéis elétricos.
I - Corrosão ou desgaste dos contatos de disjuntores e contatores podem ocasionar elevadas resistências de contato.
II - Sujeira e oxidação dos núcleos dos circuitos magnéticos de bobinas de relés e contatores podem ser detectáveis por vibração e ruído audível nestes equipamentos.
III - Umidade e sujeira podem causar aquecimento e queima de bobinas de contatores e relés.
São verdadeiras as afirmativas:
Provas
A relação entre o fluxo luminoso emitido por uma fonte luminosa e a potência consumida por ela é a(o):
Provas
Os transformadores de potencial e de corrente são equipamentos muito utilizados em instalações elétricas de média tensão. A finalidade desses equipamentos é facilitar a:
Provas
Dentre os esquemas de aterramentos, adotados nas instalações elétricas em baixa tensão e normatizados pela ABNT, aquele que é indispensável à utilização do dispositivo de corrente diferencial (DR), para proteção contra contatos indiretos é o:
Provas
Um retificador monofásico de onda completa, controlado, é alimentado por uma rede com tensão de 127 V, 60Hz e empregado no carregamento de um banco de baterias. Em relação a este retificador, é correto afirmar que a(o):
Provas
Caderno Container