Foram encontradas 70 questões.
Considere o enunciado, o diagrama e a tabela abaixo para responder a questão.
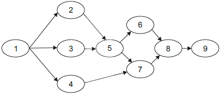
O planejamento, o detalhamento dos serviços e a execução da manutenção de um equipamento eletrônico foram elaborados segundo o diagrama e a respectiva tabela de atividades, apresentados a seguir.

|
Nr |
Atividade | Tempo de Execução |
Técnico Executante |
| 1 | Desmontar o equipamento |
1 hora |
Artur |
| 2 | Consertar o subconjunto I | 3 horas |
Barros |
| 3 | Consertar o subconjunto II | 2 horas |
Artur |
| 4 | Reduzir o tamanho do subconjunto III | 1 hora |
Carlos |
| 5 | Montar os subconjuntos I e II | 4 horas |
Barros |
| 6 | Calibrar os subconjuntos I e II |
2 horas |
Barros |
| 7 | Ajustar os subconjuntos I e II de acordo com o novo tamanho do subconjunto III. |
2 horas |
Carlos |
| 8 | Acoplar o subconjunto III aos subconjuntos I e II | 2 horas |
Artur |
| 9 | Pintar o equipamento |
1 hora |
Artur |
Durante a realização do serviço de manutenção do equipamento, a folga, em horas, do técnico Carlos foi:
Provas
Considere o enunciado, o diagrama e a tabela abaixo para responder a questão.
O planejamento, o detalhamento dos serviços e a execução da manutenção de um equipamento eletrônico foram elaborados segundo o diagrama e a respectiva tabela de atividades, apresentados a seguir.

|
Nr |
Atividade | Tempo de Execução |
Técnico Executante |
| 1 | Desmontar o equipamento |
1 hora |
Artur |
| 2 | Consertar o subconjunto I | 3 horas |
Barros |
| 3 | Consertar o subconjunto II | 2 horas |
Artur |
| 4 | Reduzir o tamanho do subconjunto III | 1 hora |
Carlos |
| 5 | Montar os subconjuntos I e II | 4 horas |
Barros |
| 6 | Calibrar os subconjuntos I e II |
2 horas |
Barros |
| 7 | Ajustar os subconjuntos I e II de acordo com o novo tamanho do subconjunto III. |
2 horas |
Carlos |
| 8 | Acoplar o subconjunto III aos subconjuntos I e II | 2 horas |
Artur |
| 9 | Pintar o equipamento |
1 hora |
Artur |
De acordo com o planejamento mostrado acima, o tempo total, em horas, para o serviço de manutenção do equipamento é:
Provas
A figura a seguir mostra o dispositivo para aferição de amperímetros pelo método comparativo.

Onde:
V → Fonte de tensão com ajuste contínuo R → Reostato para limitar a corrente nos amperímetros Ai → Amperímetro em aferição Ap → Amperímetro padrão
Estão listados, na tabela abaixo, fora da seqüência normal, os passos principais para aferição de amperímetros pelo método comparativo.
|
PASSO |
DESCRIÇÃO |
| I |
Ajustar a tensão na fonte, de forma que o amperímetro indique a corrente do primeiro nível. Ler simultaneamente os valores das correntes do padrão e do amperímetro em aferição e registrá-los. Repetir esta operação para os outros níveis. |
| II |
Dividir o valor final da escala do amperímetro em dez níveis iguais. Exemplo: se a capacidade máxima for 500 ampères, cada nível terá um acréscimo de 50 ampères. |
| III |
Conectar os instrumentos. Selecionar a escala do amperímetro padrão o mais próximo possível da escala do amperímetro em aferição. |
| IV |
Com a fonte desligada, ajustar o ponteiro do amperímetro, de modo que o ponteiro repouse sobre a posição zero. |
| V |
Calcular o percentual de erros. |
| VI |
Desenhar o gráfico de aferição. |
A seqüência dos passos para realização desta aferição é:
Provas
Durante um mês foram feitas observações na ficha de manutenção de um equipamento eletrônico, que opera continuamente e cujos dados estão apresentados na tabela a seguir.
| Dias |
Observação |
| 8, 9, 10, 11 e 12 |
Manutenção preditiva |
| 19 e 20 |
Manutenção corretiva planejada |
| 21 e 22 |
Montagem e teste do equipamento |
| 25, 26 e 27 |
Manutenção corretiva não planejada |
| 28, 29 e 30 |
Montagem e teste do equipamento |
Considerando que, para algumas das intervenções de manutenção, o equipamento fica inoperante em um certo número inteiro de dias, está correto afirmar que a taxa de disponibilidade do equipamento, nestes 30 dias, foi de aproximadamente:
Provas
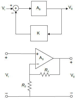
A malha de realimentação mostrada na figura tem a finalidade de:
Provas
Considere o enunciado abaixo para responder a questão.

O diagrama em blocos da figura representa a equivalência do comportamento entrada e saída de um circuito que utiliza um Amplificador Operacional de ganho A0.
Comparando os dois esquemas, a expressão do ganho K é:
Provas
Durante o monitoramento contínuo do funcionamento de um circuito integrado em uma bancada de teste, para fins de medição do Mean Time Between Failures (MTBF), observou-se o desempenho apresentado na tabela a seguir.
| Cronograma de Operação |
| Funcionou 200 horas e falhou |
| Foi consertado em 50 horas |
| Funcionou mais 300 horas e falhou |
| Foi consertado em 50 horas |
| Funcionou mais 250 horas e falhou |
| Foi consertado em 100 horas |
| Funcionou mais 250 horas e o teste foi encerrado |
O MTBF, em horas, apresentado pelo componente neste teste foi:
Provas
O símbolo de um TRIAC é:
Provas
Segundo a norma ISA S 5.1, o símbolo de uma válvula autoreguladora de pressão de impulso externo para regulação de pressão a montante é:
Provas
O diagrama de interligação de instrumentos que representa uma malha de medição e controle de vazão, contendo placa de orifício, transmissor diferencial de pressão, extrator de raiz quadrada, controlador registrador e válvula de controle, é:
Provas
Caderno Container