Foram encontradas 489 questões.
Considere o arranjo experimental de um experimento de dupla fenda de Young, ilustrado abaixo. Quando
um filme transparente é colocado em uma das fendas, a franja de ordem zero é deslocada para a posição
de quarta ordem da franja original (sem o filme numa das fendas). Sabendo que o índice de refração do
filme é n = 1,2 e que o comprimento de onda é de λ = 500nm, a espessura do filme será cerca de:


Provas
Questão presente nas seguintes provas
Um motorista viajando em seu carro a 90 km/h percebe uma árvore caída na pista a 60 m de distância. Ao
acionar os freios, o carro desacelera a uma taxa constante de 5 m/s2. Com base nas informações dadas, é
CORRETO afirmar que o carro:
Provas
Questão presente nas seguintes provas
O intervalo de comprimento de onda para a luz visível é de 4000 a 8000 Angstrons. Considerando a função
trabalho dos materiais: Tântalo (4,2 eV), Césio (2,1 eV), Tungstênio (4,5 eV), Bário ( 2,5 eV) e Lítio (2,3 eV),
quais destes materiais são apropriados para a fabricação de fotocélulas que operem na faixa da luz visível?
(Use o valor de 6,6 x 10-34 J . s para a constante de Planck e 3 x 108 m/s para a velocidade da luz.
Lembre que 1 eV ≅ 1,6 x 10-19 J).
Provas
Questão presente nas seguintes provas
Um radar de velocidade opera a uma frequência de 109 Hz. Caso um carro passe pelo radar a uma
velocidade de 110 Km/h, qual deverá ser, aproximadamente, a frequência de batimento medida pelo circuito
do radar? (leve em consideração que este problema envolve efeito Doppler relativístico).
Provas
Questão presente nas seguintes provas
O gráfico abaixo representa a mudança de um gás, num processo reversível. É CORRETO afirmar:


Provas
Questão presente nas seguintes provas
Quando o estado de um núcleo atômico muda de uma situação de alta energia para baixa energia, ocorre a
emissão de raios gama, cuja energia é dada por hf, e cujo momentum é dado por hf/c, em que h é a
constante de Planck, f a frequência da radiação emitida e c a velocidade da luz. Quando um núcleo atômico
livre, de massa M, emite uma radiação gama, ele recua numa direção oposta à da emissão da radiação. Os
valores da velocidade de recuo do núcleo e da sua energia cinética são, respectivamente:
Provas
Questão presente nas seguintes provas
Analise as afirmações a seguir:
I- Luz monocromática são radiações eletromagnéticas na faixa de luz visível compostas por um único comprimento de onda. II- Luz policromática é aquela composta por uma combinação de duas ou mais cores monocromáticas, como por exemplo, a luz branca emitida pelo sol. III- Um corpo de cor branca é aquele que absorve todas as cores sobre ele incididas, sem refletir nenhuma. IV- Usando-se um prisma, é possível decompor a luz policromática nas luzes monocromáticas que a formam, o que não é possível para as cores monocromáticas, como o vermelho, alaranjado, amarelo, verde, azul, anil e violeta.
Estão CORRETAS as afirmações:
I- Luz monocromática são radiações eletromagnéticas na faixa de luz visível compostas por um único comprimento de onda. II- Luz policromática é aquela composta por uma combinação de duas ou mais cores monocromáticas, como por exemplo, a luz branca emitida pelo sol. III- Um corpo de cor branca é aquele que absorve todas as cores sobre ele incididas, sem refletir nenhuma. IV- Usando-se um prisma, é possível decompor a luz policromática nas luzes monocromáticas que a formam, o que não é possível para as cores monocromáticas, como o vermelho, alaranjado, amarelo, verde, azul, anil e violeta.
Estão CORRETAS as afirmações:
Provas
Questão presente nas seguintes provas
- Mecânica ClássicaCinemáticaMRUV: Movimento Retilíneo Uniformemente Variado
- Mecânica ClássicaDinâmicaEnergia Mecânica e sua Conservação
Três bolas idênticas, A, B e C, sujeitas apenas à ação da força gravitacional, são lançadas
simultaneamente, com módulos de velocidade iguais, de uma mesma altura h do solo: uma verticalmente
para cima ( A ), outra verticalmente para baixo ( B ) e a outra horizontalmente para a direita ( C ). Os
módulos das velocidades com que as bolas atingem o solo será tal que:
Provas
Questão presente nas seguintes provas
- Mecânica ClássicaCinemáticaMRU: Movimento Retilíneo Uniforme
- Mecânica ClássicaCinemáticaMRUV: Movimento Retilíneo Uniformemente Variado
A tabela a seguir mostra o tempo, cronometrado em segundos, que uma bolinha gasta para sair da posição
S0=0 metros até a posição S4=0.400 metros.

A partir dos dados acima é CORRETO afirmar:

A partir dos dados acima é CORRETO afirmar:
Provas
Questão presente nas seguintes provas
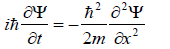
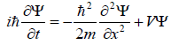
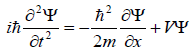
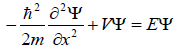
Na mecânica quântica, a equação de Schrödinger é uma equação diferencial parcial que descreve como o
estado quântico ( Ψ = Ψ (x,t)
) de um sistema físico muda com o tempo. Qual equação a seguir representa
a equação de Schrödinger na sua forma dependente do tempo para uma partícula com energia E se
movendo num potencial V =V(x,t) em uma dimensão.
Provas
Questão presente nas seguintes provas
Cadernos
Caderno Container