Foram encontradas 489 questões.
As equações de transformação do estado plano de deformação também podem ser representadas graficamente pelo círculo de Mohr. Analisando o Círculo de Mohr da figura a seguir, as deformações principais εmáx e εmín são iguais a respectivamente:

Provas
Questão presente nas seguintes provas
O ciclo termodinâmico que transfere calor ao fluido de trabalho no processo de expansão isotérmica a
volume constante; e transfere calor do fluido de trabalho, no processo de compressão isotérmica também a
volume constante, chama-se:
Provas
Questão presente nas seguintes provas
O tipo de ferro fundido em que a grafita aparece com formato esférico é o:
Provas
Questão presente nas seguintes provas
Sobre as características de uma fratura dúctil por tração, assinale a opção INCORRETA.
Provas
Questão presente nas seguintes provas
A parede de um forno com 10 cm de espessura possui condutividade térmica igual a 1 W/m. ºC, o seu
interior encontra-se à temperatura de 410ºC, e o coeficiente de troca de calor por convecção é de 45
W/m².ºC. O ambiente externo também troca calor com o forno por convecção a uma temperatura de 25ºC.
Admitindo que a taxa de transferência de calor na parede é 450 W/m², a temperatura da superfície interna
do forno em ºC, vale:
Provas
Questão presente nas seguintes provas
Para algumas ligas de aço e de titânio, o limite de resistência á fadiga é a tensão limite na qual:
Provas
Questão presente nas seguintes provas
Sobre engrenagens assinale a opção CORRETA.
Provas
Questão presente nas seguintes provas
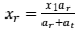
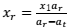
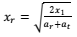
Um rapaz de massa m1 e um trenó de massa m2 estão sobre a superfície de um lago congelado, separados
por uma distância x1 . O rapaz aplica sobre o trenó uma força horizontal F, puxando-o por uma corda, em
sua direção. A que distância (xr), em relação à posição inicial do rapaz, eles se juntam, supondo nulas as
forças de atrito? Seja ar
, a aceleração do rapaz, at
, a aceleração do trenó, e t o tempo.
Provas
Questão presente nas seguintes provas
Um dos principais fatores para ocorrência de uma fratura frágil é:
Provas
Questão presente nas seguintes provas
Quanto a transformações de fases em diagramas de fases, responda: a reação invariante de três fases em
equilíbrio, durante o aquecimento, na qual uma fase sólida se transforma em uma fase líquida e outra
sólida, é chamada de:
Provas
Questão presente nas seguintes provas
Cadernos
Caderno Container