Foram encontradas 503 questões.
A viga da figura abaixo é engastada de um lado e livre do outro.

Desprezando o peso da viga, a força cortante mínima e o momento fletor mínimo são, respectivamente:
Provas
A barra representada na figura abaixo, de área seccional 25 cm2 , está submetida a uma carga axial de 10 kN.

A tensão cisalhante em uma superfície inclinada em 45°, como mostrado pela linha tracejada na figura, é:
Provas
O tarugo metálico em forma de paralelepípedo representado na figura abaixo (módulo de elasticidade igual a 100 GPa e coeficiente de Poisson igual a 0,25) tem as dimensões 10x1x1 cm quando não solicitado.

Quando submetido a uma carga axial de 100 KN, as novas dimensões do tarugo serão:
Provas
Uma barra de alumínio (módulo de elasticidade 72 GPa), quando não solicitada, tem 1m de comprimento e 10mm de diâmetro. Quando esta barra é tracionada axialmente com uma força de 5,6 kN, o seu comprimento passa a ser:
Provas
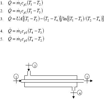
A figura abaixo representa um trocador de calor de tubos concêntricos de escoamento paralelo. Uma vazão mássica m1 de fluido quente (calor específico constante cp1) entra no tubo interno do trocador de calor com temperatura T1 e sai com temperatura T2. No tubo externo, uma vazão mássica m3 de fluido frio (calor específico constante cp3) entra no trocador de calor com temperatura T3 e sai com temperatura T4. A área de troca de calor é A e o coeficiente global de transferência de calor é U. Considere as várias equações propostas para o cálculo da taxa de transferência de calor Q:

Assinale a alternativa correta:
Provas
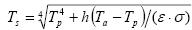
Na figura abaixo, uma partícula esférica é mantida em suspensão por um fluxo de ar alimentado pela seção inferior da câmara. O ar, ao incidir sobre a partícula, está na temperatura Ta. A área da partícula é A, o coeficiente de transferência de calor convectivo é h, o coeficiente de Stefan- Boltzmann é σ e a emissividade da partícula é ε. Se a temperatura da partícula deve ser mantida a Tp (maior que Ta), a temperatura Ts da superfície da câmara deve ser:

Provas
A figura abaixo representa o processo de transferência de calor para uma edificação. A energia solar (Q1) incidente sobre o solo provoca o seu aquecimento e, conseqüentemente, um movimento de ascensão do ar (distante da edificação) com velocidade V1. Este movimento de ascensão causa uma zona de baixa pressão, o que origina um vento horizontal com velocidade V2.

Quando se analisa o processo de transferência de calor entre o ambiente externo e a parede da edificação (volume de controle tracejado), é correto afirmar que os mecanismos de transferência de calor são:
Provas
A figura abaixo representa um bocal convergente-divergente no qual há um escoamento isoentrópico de ar. O número de Mach tem valor unitário na seção "e". A pressão na seção de saída é menor que a pressão na seção "e".

Em relação a este bocal, analise as seguintes afirmativas sobre o comportamento do ar conforme este se desloca da esquerda para a direita:
1. Na seção convergente, a velocidade aumenta.
2. Na seção convergente, a pressão aumenta.
3. Na seção divergente, a velocidade aumenta.
4. Na seção divergente, a pressão aumenta.
Assinale a alternativa correta:
Provas
Considere duas tubulações retas horizontais, ambas de seção circular uniforme, nas quais o escoamento é laminar. O mesmo fluido escoa nas duas tubulações. As duas tubulações têm o mesmo comprimento e a mesma vazão volumétrica. Se a tubulação A tem um diâmetro duas vezes maior que o diâmetro da tubulação B, pode-se afirmar que a queda de pressão na tubulação A é:
Provas
Deseja-se determinar o coeficiente de sustentação de uma nova aeronave que irá operar a uma velocidade de 800 km/h. Para tanto, o coeficiente será determinado experimentalmente em um modelo reduzido (escala 1:5) imerso em uma corrente de água. A viscosidade cinemática da água é 20 vezes inferior à viscosidade cinemática do ar. Qual deve ser a velocidade da corrente de água?
Provas
Caderno Container