Foram encontradas 60 questões.
Sejam n1 = 8 e n2 = 13 os tamanhos de duas amostras coletadas com o objetivo de testar a igualdade entre suas médias. Os desvios-padrão obtidos foram, respectivamente, s1 = 10 e s2 = 15. Para testar a igualdade das variâncias, foi realizado um teste F. Os valores dos graus de liberdade da distribuição F e do valor calculado da estatística de teste F são, respectivamente:
Provas
Questão presente nas seguintes provas
Considerando que o número de horas perdidas com acidentes de trabalho em uma indústria por semana é uma variável aleatória normalmente distribuída com média 40 horas e variância 16 horas 2 , é CORRETO afirmar:
Provas
Questão presente nas seguintes provas
Suponha que o número de chamadas que chegam a uma central telefônica siga uma distribuição de Poisson, com média de chegada de 60 chamadas por hora. A probabilidade de que, em 10 minutos, cheguem, no máximo, 2 chamadas é de:
Provas
Questão presente nas seguintes provas
Em 2010, o preço médio de certo artigo era 20% superior ao de 2009, 10% inferior ao de 2008 e 25% superior ao de 2011. O índice de preço relativo do ano de 2011, adotando 2008 como ano-base, é:
Provas
Questão presente nas seguintes provas
As notas finais de um exame padrão de inteligência apresentam distribuição normal com desvio-padrão desconhecido. Um professor seleciona uma amostra aleatória de 16 estudantes e aplica o exame a essa amostra, obtendo uma nota média de 83 pontos e um desvio-padrão de 8 pontos. Considerando a população de tamanho infinito e t 0,05 o quantil da distribuição t de Student para teste unicaudal, tal que P ( t > t 0,05 ) com g graus de liberdade, obteve-se, com base nessa amostra, um intervalo de confiança de 90% para a média populacional.
Esse intervalo de confiança, em pontos, tem margem de erro igual a:

Esse intervalo de confiança, em pontos, tem margem de erro igual a:

Provas
Questão presente nas seguintes provas
No estudo da adequação de um modelo de regressão linear simples, foram obtidos os seguintes gráficos para análise dos resíduos:

Analisando os gráficos, é CORRETO afirmar que o modelo ajustado é inadequado porque

Analisando os gráficos, é CORRETO afirmar que o modelo ajustado é inadequado porque
Provas
Questão presente nas seguintes provas
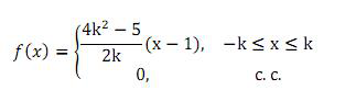
A função f (x ) é uma função real definida por:

O valor de K para o qual a f (x ) é uma função densidade de probabilidade da variável aleatória X

O valor de K para o qual a f (x ) é uma função densidade de probabilidade da variável aleatória X
Provas
Questão presente nas seguintes provas
Em relação ao boxplot a seguir, construído por meio dos dados de 32 vendedores de uma empresa, é CORRETO afirmar:


Provas
Questão presente nas seguintes provas
A função de distribuição empírica F ( x ) a seguir corresponde a uma pesquisa realizada com 80 famílias de um bairro. A variável é o número de filhos para cada família.
O número de famílias que possuem, pelo meno, um filho e, no máximo, três filhos é:
O número de famílias que possuem, pelo meno, um filho e, no máximo, três filhos é:
Provas
Questão presente nas seguintes provas
- FundamentosAnálise de Tabelas e GráficosGráfico de Colunas ou Barras Justapostas
- Estatística Descritiva
Considere os seguintes correlogramas da função de autocorrelação (i) e da função de autocorrelação pacial (ii) de um modelo de séries temporais.

Os aspectos desses correlogramas evidenciam que esse é um processo:

Os aspectos desses correlogramas evidenciam que esse é um processo:
Provas
Questão presente nas seguintes provas
Cadernos
Caderno Container