Foram encontradas 335 questões.
Quatro cargas pontuais q2, q3, q4 e q5 ocupam os vértices 2, 3, 4 e 5 de um pentágono regular, como mostra a figura.

No caso, a intensidade do campo elétrico no vértice 1 é nula: \( E \)⃗1 = 0⃗ . Remove-se para muito longe a carga q2 > 0, que se encontrava no vértice 2, e a intensidade do campo elétrico no vértice 1 passa a ser \( E \)⃗1 ≠ 0⃗ .
Assinale o segmento orientado que indica corretamente a direção e o sentido de \( E \)⃗ 1 .
Provas
Um dos radionuclídeos do Radônio \( ^{210} \)86\( R \)\( n \) , decai para um dos isótopos do Polônio, por meio da emissão de partículas alfa.
Das reações listadas a seguir, assinale a que descreve essa reação nuclear.
Provas
Duas cargas 1 e 2 de mesmo sinal, a primeira com velocidade \( v ⃗ \) e a segunda com velocidade 2.\( v ⃗ \) penetram perpendicularmente em uma região onde há um campo magnético uniforme
.
Ao penetrar no campo, as cargas passam a se deslocar em trajetórias circulares com movimentos uniformes. A primeira com período T1 e a segunda com período T2.
A razão T2/T1 é
Provas
- EletromagnetismoElétricaCircuitos Elétricos Especiais: Leis de Kirchhoff e Ponte de Wheatstone
- EletromagnetismoElétricaEletricidade
- EletromagnetismoElétricaEletrodinâmica
- EletromagnetismoElétricaResistores e Potência Elétrica
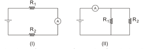
Para alimentá-los, dispõe-se de um gerador ideal (isto é, de resistência interna desprezível). Eles podem ser ligados ao gerador como ilustram os esquemas a seguir.
Suponha desprezíveis as resistências dos fios de ligação e considere o amperímetro ideal. Quando eles estão ligados como ilustra o esquema (I), o amperímetro indica 6 A. Já quando eles estão ligados, como ilustra o esquema (II), o amperímetro indica
Provas
Um estudante ganhou um termômetro de líquido graduado em uma escala desconhecida.
Ele verificou que, quando o termômetro do laboratório marcava 280 K, o da escala desconhecida marcava -5; observou, ainda, que uma elevação de 9 K na temperatura correspondia a uma elevação de 12 graus na escala desconhecida.
Esse termômetro graduado nessa escala desconhecida e um termômetro graduado na escala Celsius darão a mesma indicação quando a temperatura for
Provas
O capitão de uma embarcação em repouso em relação à âncora vê uma lancha se aproximando à 20 m/s. O apito tem frequência de 640 Hz para o piloto da lancha. Seja a velocidade do som no ar 340 m/s.
O capitão da embarcação registrará a frequência do apito em
Provas
O sistema mostrado na figura a seguir está em repouso.

Os fios e as roldanas são ideais, todos os atritos são desprezíveis, as esferas têm massas iguais e os blocos têm massa m e m', sendo m > m`.
Se o fio que prende a esfera da esquerda à roldana se romper, os blocos passarão a deslizar sobre o piso horizontal para a direita e a tensão no fio que prende um ao outro se tornará igual a T.
No entanto, se o fio que prende a esfera da direita à roldana se romper, os blocos passarão a deslizar para a esquerda e a tensão no fio, que prende um ao outro, se tornará igual a T`.
Essas tensões T e T` são tais que:
Provas
Um bloco de pequenas dimensões, de massa igual a 0,25 kg, está se movendo em um trilho vertical, cujo perfil está representado na figura a seguir.
Ele passa pelo ponto A do trecho horizontal do trilho com uma velocidade \( V \)⃗ de módulo igual a 4 m/s e consegue chegar, no máximo, ao ponto B a uma altura de 0,70 m.

Considere g = 10 m/s2 .
O trabalho realizado pelos diversos atritos que se opõem ao movimento do bloco, enquanto ele se desloca de A até B, é igual a
Provas
Um projétil é disparado do solo, obliquamente com ângulo de tiro de θ = 60o . A figura abaixo ilustra a trajetória percorrida por ele, supondo desprezível a resistência do ar.

Sejam H a altura máxima atingida pelo projétil e R o raio de curvatura da trajetória no ponto mais alto atingido.
A razão H/R é igual a
Provas
Estava escuro. Mesmo assim, a vítima não teve dúvidas em identificar um homem, então com 32 anos, como aquele que a estuprou e agrediu. Apesar de jurar a sua inocência, ele foi julgado e condenado a cinquenta anos de prisão apenas com base no testemunho da vítima. Depois de vinte e cinco anos na cadeia, sua inocência foi finalmente reconhecida por um tribunal, graças a um teste de DNA que provou, sem margem para dúvidas, que não fora ele.
(Adaptado de CHEMELLO, E. Ciência Forense. Química Virtual, março de 2007).
Com relação ao material genético e à sua utilização na investigação criminal, avalie os itens a seguir.
I. No DNA, as ligações entre os pares de bases são mais fortes do que as ligações açúcar-fosfato. Isso permite que as duas fitas de DNA sejam separadas sem danificar suas cadeias principais, facilitando a duplicação do DNA.
II. Na eletroforese em gel, os fragmentos maiores de DNA migram mais lentamente do que os menores. Após algum tempo, os fragmentos de DNA se espalham pelo gel de acordo com seu tamanho, formando bandas individuais, cada uma composta por um conjunto de moléculas de DNA de mesmo comprimento.
III. Utilizando pares iniciadores que têm como alvo sequências genômicas que são conhecidas por não sofrerem variações na população humana, a reação em cadeia da polimerase (PCR) torna possível gerar uma impressão digital de DNA (DNA fingerprint) distinta para cada pessoa. Tais análises forenses podem ser usadas para identificar indivíduos que cometeram crimes, mas também para exonerar indivíduos que foram acusados injustamente.
Está correto o que se afirma em
Provas
Caderno Container