Foram encontradas 595 questões.
- EletromagnetismoElétricaEletricidade
- EletromagnetismoElétricaEletrodinâmica
- EletromagnetismoElétricaResistores e Potência Elétrica
Provas
- EletromagnetismoElétricaEletricidade
- EletromagnetismoElétricaForça Elétrica, Campo Elétrico e Eletrização
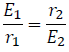
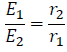
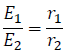
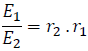
Duas esferas de raios r1 e r2 , separadas por uma distância grande em relação aos raios das esferas, possuem cargas q1 e q2, respectivamente. As esferas são, então, conectadas por um fio.
Com base nessa situação hipotética, assinale a alternativa que relaciona os campos elétricos em função dos raios das esferas.
Provas
Acerca da equação de Schrödinger, para o caso estacionário,tem-se
, em que E representa asenergias possíveis do sistema e h = h/2π.
considerando um potencial
(poço infinito), com L=0,2nm; m=9,1 x 10-31kg (massa do elétron); h=6,63 x 10-34j.s; e a carga e 1,6 x 10-19C, assinale a alternativa que indica a diferença energética aproximada, em elétron-volt (eV), entre o primeiro estado excitado e o estado fundamental.
Provas
A equação de Schrödinger é a equação básica da mecânica quântica. Ela descreve o comportamento da função de onda no tempo e no espaço. Para o caso estacionário, tem-se
, em que E representa as energias possíveis do sistema.
Considerando um elétron sob a ação de um potencial elástico
, é correto afirmar que as energias possíveis são
Provas
- EletromagnetismoElétricaEletricidade
- EletromagnetismoElétricaForça Elétrica, Campo Elétrico e Eletrização

Diversas propriedades dos sólidos são entendidas com o conceito de bandas de energia. A natureza dessas bandas determina se o material é isolante, condutor ou semicondutor. A banda de valência é a banda de energia mais elevada que está ocupada por elétrons, e a banda de condução é a banda de energia menos elevada que está desocupada pelos elétrons. Considerando essas informações, e com base na figura apresentada, é correto afirmar que o esquema da esquerda corresponde a um
Provas
A Lei de Ampère (
) explicita uma íntima relação entre a existência de uma corrente elétrica e o surgimento de um campo magnético. A respeito dessa lei, assinale a alternativa correta.
Provas
- EletromagnetismoElétricaEletricidade
- EletromagnetismoElétricaEletrodinâmica
- Mecânica ClássicaHidrostática

Duas placas paralelas separadas por uma distância d são ligadas aos polos de uma bateria, como representado na figura. Nesse caso, é correto afirmar que o campo elétrico na região interior das placas
Provas

O circuito gerador de corrente elétrica alternada, representado na figura, consiste em dez voltas de um fio de cobre, formando uma bobina de área 0,1 m2 . O campo magnético externo equivale a 0,5 T, e a frequência de rotação é igual a 60/π Hz. Com base no exposto, assinale a alternativa que indica o valor da força eletromotriz máxima induzida.
Provas
- Compilação e Interpretação de CódigoBytecode
- Compilação e Interpretação de CódigoDescompilação
- Engenharia de SoftwareTestesAnálise Estática
- Manutenção e Evolução de SoftwareEngenharia Reversa
Provas

Provas
Caderno Container