Foram encontradas 1.668 questões.

Provas
Questão presente nas seguintes provas

Provas
Questão presente nas seguintes provas

Provas
Questão presente nas seguintes provas

Provas
Questão presente nas seguintes provas
A liga de alumínio tipo 2024 é endurecível por precipitação. A sequência de operações que deve provocar a mais baixa tenacidade neste material é:
Provas
Questão presente nas seguintes provas
O carbono equivalente (Ceq) é um parâmetro baseado na composição química dos aços. Apesar de existirem várias fórmulas para o Ceq na literatura, pode-se dizer que todas elas refletem uma propriedade dos aços conhecida como:
Provas
Questão presente nas seguintes provas
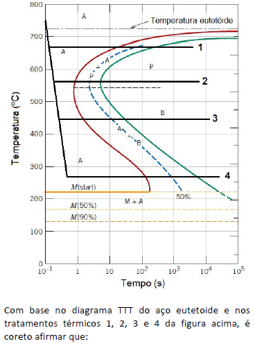
Um aço baixa liga e baixo carbono foi tratado no intervalo intercrítico (entre A3 e A1) e resfriado rapidamente. A microestrutura obtida por este tratamento é constituída por:
Provas
Questão presente nas seguintes provas
A microestrutura de um aço baixa liga médio carbono que passou por tratamento térmico de martêmpera é constituída basicamente por:
Provas
Questão presente nas seguintes provas

Provas
Questão presente nas seguintes provas
- Técnicas de produção e fabricação de peças e materiais
- Características e comportamentos dos materiais
Um aço baixa liga SAE 4340 deve ser deformado a frio e usinado para produção de uma peça (um parafuso de fixação, por exemplo). A melhor condição de tratamento térmico que deve ser fornecida a matéria prima para fabricação da peça é:
Provas
Questão presente nas seguintes provas
Cadernos
Caderno Container