Foram encontradas 140 questões.
As Normas Regulamentadoras (NRs) do Ministério do Trabalho e Emprego devem ser observadas pelas empresas privadas e públicas e pelos órgãos públicos da administração direta e indireta, bem como pelos órgãos do Poder Legislativo e do Judiciário, que possuam empregados regidos pela Consolidação das Leis do Trabalho (CLT). A NR 6 – Equipamento de Proteção Individual (EPI), aprovada pela Portaria n.º 3.214/1978, do Ministério do Trabalho e Emprego, estabelece que as empresas devem fornecer aos empregados gratuitamente EPI adequado ao risco, em perfeito estado de conservação e funcionamento, sempre que
Provas
Questão presente nas seguintes provas
A figura a seguir representa uma parede de alvenaria confinada entre dois suportes horizontais, inferior e superior. As linhas tracejadas indicam a deformação dos suportes, que provocaram fissuras na alvenaria.

Pela conformação das fissuras, o motivo que as provocou foi

Pela conformação das fissuras, o motivo que as provocou foi
Provas
Questão presente nas seguintes provas
A figura a seguir corresponde à rede PERT correspondente à construção de uma casa.

Com base nessa figura, assinale a alternativa correta.

Com base nessa figura, assinale a alternativa correta.
Provas
Questão presente nas seguintes provas
A figura a seguir ilustra uma viga biapoiada com dois
trechos em balanço, solicitada por uma carga distribuída q e
uma carga concentrada P aplicada na extremidade do
balanço de maior comprimento.

Considerando que o esquema da figura ilustrada no texto III represente uma faixa de um metro de um painel de lajes de concreto armado, constituído por lajes armadas em uma só direção, apoiadas sobre vigas e com dois trechos em balanço, assinale a alternativa correta. trechos em balanço, solicitada por uma carga distribuída q e
uma carga concentrada P aplicada na extremidade do
balanço de maior comprimento.

Provas
Questão presente nas seguintes provas
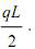
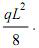
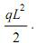
A figura a seguir ilustra uma viga biapoiada com dois
trechos em balanço, solicitada por uma carga distribuída q e
uma carga concentrada P aplicada na extremidade do
balanço de maior comprimento.

Com base no texto III, o momento fletor sobre o apoio A, em valor absoluto, é igual a trechos em balanço, solicitada por uma carga distribuída q e
uma carga concentrada P aplicada na extremidade do
balanço de maior comprimento.

Provas
Questão presente nas seguintes provas
A alvenaria sem função estrutural de blocos cerâmicos tem por finalidade precípua a vedação dos ambientes. Além disso, pode também desempenhar um papel de propiciar equilíbrio térmico a eles. Acerca das recomendações normativas do serviço de execução de alvenaria sem função estrutural de blocos cerâmicos, assinale a alternativa correta.
Provas
Questão presente nas seguintes provas
Com base na estrutura da demonstração das variações patrimoniais, assinale a alternativa que corresponde à correta classificação do fato indicado.
Provas
Questão presente nas seguintes provas
- Elementos OrçamentáriosReceita OrçamentáriaClassificação da Receita Orçamentária
- Elementos OrçamentáriosIngressos e Dispêndios
De acordo com a classificação da receita, aplicável às três esferas da Administração, considera(m)-se como receita tributária
Provas
Questão presente nas seguintes provas
- Escrituração ContábilLançamento e Registro Contábil
- Escrituração ContábilContas Contábeis
- Sistema Contábil
Em geral, a caracterização do fato gerador da despesa patrimonial coincide com a sua liquidação. Mas isso pode não ocorrer, como, por exemplo, nos contratos de seguros que a Administração firma com uma seguradora. Com relação ao assunto, assinale a alternativa correspondente à correta associação entre o lançamento contábil e o respectivo sistema de contas, quando ocorre o fato gerador preexistindo a dotação orçamentária.
Provas
Questão presente nas seguintes provas
Considere-se que determinado ente necessite realizar um novo programa no exercício em curso, tendo-se apurado a seguinte situação (valores em R$ 1.000,00):
Receita arrecadada – receita prevista (diferenças acumuladas): 2.400
Despesa autorizada – despesa realizada (diferenças acumuladas): 600
Crédito extraordinário aberto no exercício: 200
Superavit financeiro do balanço patrimonial do exercício anterior: 300
Crédito especial aprovado em dezembro do exercício anterior e reaberto no exercício corrente: 400.
Com base nesses dados, é correto afirmar que o ente poderá abrir um crédito especial de até
Receita arrecadada – receita prevista (diferenças acumuladas): 2.400
Despesa autorizada – despesa realizada (diferenças acumuladas): 600
Crédito extraordinário aberto no exercício: 200
Superavit financeiro do balanço patrimonial do exercício anterior: 300
Crédito especial aprovado em dezembro do exercício anterior e reaberto no exercício corrente: 400.
Com base nesses dados, é correto afirmar que o ente poderá abrir um crédito especial de até
Provas
Questão presente nas seguintes provas
Cadernos
Caderno Container