Foram encontradas 2.008 questões.
O Senhor Fulano de Tal possui uma área florestal na Amazônia Legal, que é cortada por um rio com 80 metros de largura. Recentemente, foi acusado de desmatar áreas de reserva legal e de proteção permanente, além de permitir a caça em sua propriedade. Em sua defesa, apresentou os seguintes argumentos:
I. A propriedade conta com uma área de vegetação natural, que será brevemente averbada em cartório, que corresponde a 60% da área total da propriedade.
II. Uma vez que houve manutenção adequada da mata ciliar, não ocorreu desmatamento da reserva legal.
III. Durante o corte da vegetação original, foi mantida uma extensão de mata ciliar com 100 metros de largura.
IV. Por tratar-se de área privada, a caça é permitida sem restrições.
Do ponto de vista legal são argumentos válidos de sua defesa SOMENTE
Provas
Considere um ecossistema aquático hipotético, situado na área de influência de uma região altamente urbanizada, no qual tem sido realizado monitoramento ambiental com periodicidade de 5 anos. O gráfico abaixo apresenta a variação temporal de algumas das variáveis medidas durante os últimos 30 anos.

Com base nos dados apresentados no gráfico, é correto afirmar que entre 1985 e 1990 iniciou-se um processo crescente de
Provas
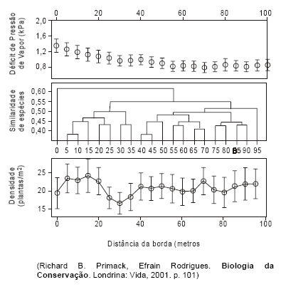
A largura da borda de um fragmento florestal é um dado vital para o planejamento, legislação e manejo de paisagens. Em 1998 foi realizado um estudo de bordas no norte do Paraná, uma paisagem homogênea do ponto de vista ambiental (solo, clima, altitude) e de histórico de perturbação. Foram avaliadas 49 bordas em 19 fragmentos de 0,4 a 650 hectares. Os resultados são apresentados nas figuras abaixo.

Os resultados indicam que nos parâmetros analisados
Provas
O estudo da variabilidade das seqüências de DNA mitocondrial (mtDNA) de quatro populações de morcegos morfologicamente semelhantes, com distribuição geográfica distinta, detectou 16 haplótipos diferentes (nomeados de A a P). As mesmas populações foram estudadas para um conjunto de marcadores genéticos localizados muito próximos entre si dentro de um único gene autossômico: 15 haplótipos distintos (numerados de 1 a 15) foram identificados. Os resultados obtidos desses estudos estão esquematizados abaixo.

A distribuição geográfica dos haplótipos permite formular a hipótese de que entre as quatro populações de morcegos
Provas
Há muito se suspeitava que Thomas Jefferson, terceiro presidente dos Estados Unidos, pudesse ser o pai de dois filhos de uma escrava, chamados Tom Woodson e Eston Hemings. Pesquisadores obtiveram amostras de DNA dos filhos homens do tio paterno de Thomas Jefferson e compararam com amostras dos descendentes do sexo masculino de Tom e Eston. Descobriram que o padrão de marcadores moleculares do DNA do cromossomo Y dos Jefferson era diferente do presente em todos os descendentes do sexo masculino de Tom, mas que esse padrão era idêntico ao presente em todos os descendentes do sexo masculino de Eston. Analise as seguintes afirmações:
I. Pode ser afirmado com segurança que Eston era filho de Thomas Jefferson.
II. Pode ser descartada com segurança a hipótese de que Tom era filho de Thomas Jefferson.
III. Eston poderia ser sobrinho de Thomas Jefferson.
IV. Marcadores do cromossomo Y não são adequados para esse tipo de estudo porque podem ter sofrido diversas recombinações.
V. Estudos de DNA mitocondrial seriam adequados para resolver essa questão com segurança.
Está correto o que se afirma SOMENTE em
Provas
As espécies exóticas e invasoras são um problema global, sendo uma das importantes causas de extinção de espécies do mundo. As espécies de plantas invasoras bem sucedidas têm dentre suas características serem
Provas
O crescimento populacional de duas espécies, I e II, está representado no gráfico.

Com base nos dados do gráfico pode-se concluir corretamente que
Provas
Segundo o Sistema Nacional de Unidades de Conservação da Natureza, o conceito de conservação inclui a preservação e a
Provas
Sobre o protocolo de Quioto que criou o mecanismo de desenvolvimento limpo (MDL) como uma possibilidade de promover o desenvolvimento sustentável foram feitas as afirmações:
I. Pequenos produtores poderão ter benefícios econômicos ao participarem de projetos envolvendo MDL.
II. Projetos que utilizam o MDL garantem maior disponibilidade de recursos naturais para as gerações futuras.
III. A criação do MDL permite que países menos desenvolvidos atinjam o desenvolvimento sustentável independentemente dos países desenvolvidos.
Está correto o que se afirmou em
Provas
Entre as unidades integrantes do Sistema Nacional de Unidades de Conservação pertencem ao grupo das unidades de proteção integral e de uso sustentável, respectivamente,
Provas
Caderno Container