Foram encontradas 1.470 questões.
O enunciado seguinte diz respeito às questões 71, 72, 73 e 74.

No contexto do cálculo do intervalo de confiança para α quando X=0 é um valor plausível para a regressão, assinale a opção correta.
Provas
O enunciado seguinte diz respeito às questões 71, 72, 73 e 74.

Suponha os erros normais. Se o intervalo de confiança calculado para β inclui o zero pode-se concluir que:
Provas
- Estatística InferencialTeste de HipótesesTeste de Hipóteses: Distribuição Qui-Quadrado
- Estatística InferencialEstimadoresEstimadores de Mínimos Quadrados
O enunciado seguinte diz respeito às questões 71, 72, 73 e 74.

No contexto da distribuição amostral do estimador de mínimos quadrados de β
assinale a opção que não é correta.
Provas
As questões 69 e 70 referem-se ao enunciado seguinte:
Em um estudo controlado em que o interesse concentra- se no desgaste de pneus testaram-se um certo número de marcas obtendo-se os resultados constantes da tabela de análise de variância dada abaixo.

Assinale a opção que dá o valor da estatística F utilizada para testar a hipótese de igualdade de médias das marcas.
Provas
Considere as observações (2 2,5) e (3 10) correspondentes aos pares (x y) no modelo de regressão não-linear


Provas
- Distribuições de ProbabilidadeDistribuições DiscretasPoisson
- ProbabilidadesFunção de Distribuição Acumulada
O teste aleatorizado uniformemente mais potente para o problema de testar a hipótese
H : λ ≤ 0,03contra a alternativa A : λ > 0,03, com tamanho α = 0,05 , para uma amostra aleatória X1,...;X20 da distribuição de Poisson com parâmetro λ tem a forma

onde as constantes c e k devem satisfazer a condição
=0,05 quando λ = 0, 03.
Sabe-se que se Y tem distribuição de Poisson com parâmetro 0,6 então P(Y=0)=0,5488, P(Y=1)=0,3293
e P(Y=2)=0,0988. Assinale a opção que dá os valores das constantes c e k <FONT face
Provas
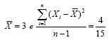
Sejam 1, , n X…X itens de uma amostra aleatória de uma população normal com média μ e variância σ 2 . Para n =16 observou-se

Assinale a opção que dá o valor do estimador de máxima verossimilhança do quantil de ordem 0,975 da população. Tome como aproximadamente 2 a quantidade correspondente na distribuição normal padrão.
Provas
Uma variável aleatória X tem função de distribuição

Assinale a opção que corresponde ao valor da função massa de probabilidades (ou função densidade e probabilidades, se for o caso) de X no ponto x=1.
Provas
Os membros do departamento de vendas de uma Cia aérea sabem que com probabilidade 5% um passageiro com reserva confirmada não se apresenta para o vôo. Nesse contexto a política de vendas da Cia é vender 52 passagens para um vôo que acomoda no máximo 50 passageiros. Assinale a opção que corresponde a probabilidade de que haja um lugar disponível para todo passageiro que se apresente para o vôo. Sabe-se que
(0,95)51 = 0,0731 e que (0,95)52 = 0,0694.
Provas
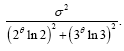
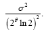
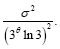
A variável aleatória Y se distribui como a variável

onde X tem distribuição F com dois graus de liberdade no numerador e 3 graus de liberdade no denominador. Assinale a opção que corresponde ao valor esperado de Y.
Provas
Caderno Container