Foram encontradas 2.495 questões.
A relação no domínio do tempo entre o sinal de entrada u(t) e de saída y(t) de uma planta industrial é representada pela equação diferencial de segunda ordem
para t ≥ 0
Tendo como base essas informações, julgue o próximo item.
Considerando o vetor de estados x(t) = [x1(t) x2(t)] T , uma das possíveis maneiras de representar a planta industrial na forma de variáveis de estados é apresentada abaixo.

Tendo como base essas informações, julgue o próximo item.
Considerando o vetor de estados x(t) = [x1(t) x2(t)] T , uma das possíveis maneiras de representar a planta industrial na forma de variáveis de estados é apresentada abaixo.
Provas
Questão presente nas seguintes provas

A figura acima ilustra o gráfico do conjugado de um motor de indução trifásico, CM, e do conjugado resistente de carga CR, em função da velocidade mecânica N. Considerando essas informações, julgue o próximo item.
No ponto I, onde as curvas se cruzam, o conjugado acelerante é igual a 40% do conjugado máximo que o motor é capaz de fornecer.
Provas
Questão presente nas seguintes provas
Um transformador monofásico de 10 KVA, 2200/220 V, 60 Hz, possui a corrente de excitação de 0,25 A medida no lado de alta tensão. A impedância série do transformador é 31 + j94 Ω, referida ao lado de alta. Tendo como base os valores nominais do transformador, julgue o item subsequente.
A impedância em pu referenciada ao lado de alta é diferente da referenciada ao lado de baixa, devido à relação de transformação. Esse fato aumenta a complexidade do modelo para o transformador no diagrama de impedâncias e, consequentemente, o uso de valores em pu para esse tipo de equipamento nem sempre é recomendado.
A impedância em pu referenciada ao lado de alta é diferente da referenciada ao lado de baixa, devido à relação de transformação. Esse fato aumenta a complexidade do modelo para o transformador no diagrama de impedâncias e, consequentemente, o uso de valores em pu para esse tipo de equipamento nem sempre é recomendado.
Provas
Questão presente nas seguintes provas
Um transformador monofásico de 10 KVA, 2200/220 V, 60 Hz, possui a corrente de excitação de 0,25 A medida no lado de alta tensão. A impedância série do transformador é 31 + j94 Ω, referida ao lado de alta. Tendo como base os valores nominais do transformador, julgue o item subsequente.
A impedância de base do lado de baixa tensão é 100 vezes menor que a impedância de base do lado de alta.
A impedância de base do lado de baixa tensão é 100 vezes menor que a impedância de base do lado de alta.
Provas
Questão presente nas seguintes provas
Com relação à certidão de acervo técnico (CAT) de uma obra, julgue o item seguinte.
Quando o profissional técnico responsável pelo projeto da obra pertence ao quadro da empresa, a CAT deve ser emitida em nome da empresa.
Quando o profissional técnico responsável pelo projeto da obra pertence ao quadro da empresa, a CAT deve ser emitida em nome da empresa.
Provas
Questão presente nas seguintes provas
Acerca das propriedades de campos elétricos em meios materiais, julgue o item.
Considere dois fios condutores e retilíneos de mesmo comprimento, designados como fio 1 e fio 2. Considere, ainda, que o diâmetro do fio 1 seja o dobro do diâmetro do fio 2 e que a condutividade elétrica do fio 1 seja 30% inferior à do fio 2. Se ambos os fios forem submetidos ao mesmo campo elétrico de intensidade constante ao longo de seus comprimentos, a corrente elétrica que flui através do fio 1 será maior do que o dobro e menor do que o triplo da corrente que flui pelo fio 2.
Considere dois fios condutores e retilíneos de mesmo comprimento, designados como fio 1 e fio 2. Considere, ainda, que o diâmetro do fio 1 seja o dobro do diâmetro do fio 2 e que a condutividade elétrica do fio 1 seja 30% inferior à do fio 2. Se ambos os fios forem submetidos ao mesmo campo elétrico de intensidade constante ao longo de seus comprimentos, a corrente elétrica que flui através do fio 1 será maior do que o dobro e menor do que o triplo da corrente que flui pelo fio 2.
Provas
Questão presente nas seguintes provas
A respeito de aspectos básicos de materiais para construção de máquinas elétricas, julgue o item.
Considere que determinado material ferromagnético, ao ser submetido a uma intensidade de campo magnético H, apresente a curva fechada no plano B × H mostrada na figura abaixo, na qual B é a indução magnética. Nessa situação, a área interna à curva fechada é numericamente igual à relutância do material ferromagnético.

Considere que determinado material ferromagnético, ao ser submetido a uma intensidade de campo magnético H, apresente a curva fechada no plano B × H mostrada na figura abaixo, na qual B é a indução magnética. Nessa situação, a área interna à curva fechada é numericamente igual à relutância do material ferromagnético.

Provas
Questão presente nas seguintes provas
Em relação às características dos campos eletrostáticos e magnetostáticos, julgue o próximo item.
Considere um fio condutor retilíneo e de comprimento infinito percorrido por uma corrente contínua de valor I que gera um campo magnetostático de intensidade H em um ponto do espaço situado a uma distância r perpendicular ao fio. Para que a intensidade do campo magnetostático permaneça igual a H a uma distância 2r perpendicular ao fio, o fio deverá ser alimentado com uma corrente de valor 4I.
Considere um fio condutor retilíneo e de comprimento infinito percorrido por uma corrente contínua de valor I que gera um campo magnetostático de intensidade H em um ponto do espaço situado a uma distância r perpendicular ao fio. Para que a intensidade do campo magnetostático permaneça igual a H a uma distância 2r perpendicular ao fio, o fio deverá ser alimentado com uma corrente de valor 4I.
Provas
Questão presente nas seguintes provas
Um transformador monofásico de 10 KVA, 2200/220 V, 60 Hz, possui a corrente de excitação de 0,25 A medida no lado de alta tensão. A impedância série do transformador é 31 + j94 Ω, referida ao lado de alta. Tendo como base os valores nominais do transformador, julgue o item subsequente.
A corrente de base do lado de baixa tensão é superior a 40 A.
A corrente de base do lado de baixa tensão é superior a 40 A.
Provas
Questão presente nas seguintes provas
Julgue o item seguinte acerca de circuitos elétricos.
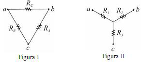
Considere as configurações de resistores mostradas nas figuras abaixo, em que, na figura I, RA = 60 Ω , RB = 40 Ω e RC = 20 Ω. Nessa situação, na conversão da configuração triângulo para estrela, o valor de R3 na figura II será 20 Ω.

Considere as configurações de resistores mostradas nas figuras abaixo, em que, na figura I, RA = 60 Ω , RB = 40 Ω e RC = 20 Ω. Nessa situação, na conversão da configuração triângulo para estrela, o valor de R3 na figura II será 20 Ω.

Provas
Questão presente nas seguintes provas
Cadernos
Caderno Container