Foram encontradas 2.495 questões.
Considere uma máquina fabril cuja operação tenha se iniciado às 8 h da quarta-feira do dia 2/1/2003 e haja se estendido durante cinco dias úteis por semana, sem feriados, de 8 h às 18 h. Considere, ainda, que essa máquina tenha produzido 400 peças, das quais 380 sejam aproveitáveis, até parar por quebra de um componente às 10 h do dia 12/2/2003. Com base nessas informações, julgue o item seguinte.
Caso o reparo tenha se iniciado às 11 h do dia 12/2/2003 e se encerrado às 22 h 15 min do mesmo dia, com duas horas de interrupção para refeições, a variável “minutos até o reparo" é igual a 555 minutos.
Caso o reparo tenha se iniciado às 11 h do dia 12/2/2003 e se encerrado às 22 h 15 min do mesmo dia, com duas horas de interrupção para refeições, a variável “minutos até o reparo" é igual a 555 minutos.
Provas
Questão presente nas seguintes provas

O elo de um mecanismo de barras esquematizado na figura acima está submetido a uma carga de tração de 240 kN. Considerando que no olhal há uma concentração de tensões cujo fator geométrico é Kt = 2, julgue o item que se segue.
A tensão normal atuante na secção 20 mm × 30 mm é 400 Mpa.
Provas
Questão presente nas seguintes provas
No gerenciamento estratégico da manutenção, em relação ao setor produtivo industrial, alguns indicadores são usados para mensuração dos resultados da adoção de planos estratégicos com a finalidade de se fazer medição do nível de segurança, produtividade, qualidade e ambiente e saúde, servindo esses resultados de referência para comparação com a meta proposta. Considerando esse tema, julgue o item a seguir.
Manutenção corretiva planejada, espécie preditiva, é um conjunto de atividades de acompanhamento das variáveis ou dos parâmetros que indicam o desempenho dos equipamentos, de modo sistemático, visando definir a necessidade ou não de intervenção, fruto de acompanhamento preditivo.
Manutenção corretiva planejada, espécie preditiva, é um conjunto de atividades de acompanhamento das variáveis ou dos parâmetros que indicam o desempenho dos equipamentos, de modo sistemático, visando definir a necessidade ou não de intervenção, fruto de acompanhamento preditivo.
Provas
Questão presente nas seguintes provas

A figura acima mostra o esquema para medição da vazão em uma instalação de bombeamento d'água com placa de orifício. Um manômetro de tubo em U com mercúrio (ρHg = 13,6) está conectado à parte inferior da tubulação. Outro manômetro de tubo em U invertido, com líquido de densidade relativa ρL = 0,5, está montado em um ponto diretamente acima do primeiro manômetro. Com base nessas informações e na figura acima, julgue os itens seguintes.
A pressão p1é menor que 10 m de coluna d'água.
Provas
Questão presente nas seguintes provas

A figura I acima ilustra um sistema de aquecimento de água que atende determinado processo industrial. Inicialmente, a água é preaquecida pelo calor da água rejeitada ao esgoto após o processo. Em seguida, um aquecedor principal recebe vapor d'água saturado de uma caldeira para aquecer a água quente que deve ser fornecida ao processo a uma temperatura de, no mínimo, 90 º C. Após o processo, a temperatura da água é igual a 40 º C. A figura II ilustra as curvas de efetividade em função de NTU e de Cmin/Cmax válidas para os trocadores de calor usados como preaquecedor e aquecedor.
Com base nas informações acima, julgue o item que se segue. Considere que o calor específico à pressão constante da água seja 4,0 kJ/kg . K e que sua densidade seja igual a 1.000 kg/m3 . Desconsidere as perdas de pressão e trocas de calor com o ambiente.
As efetividades do preaquecedor e do aquecedor são iguais a 30% e 75%, respectivamente.
Provas
Questão presente nas seguintes provas
A respeito de análise de modos de falhas (FMEA), análise de causa raiz de falha (RCFA), de função e métodos de manutenção, julgue o próximo item.
A manutenibilidade, que pode ser usada como uma medida parcial do sucesso de um projeto industrial, é a probabilidade de um produto ou serviço operar adequadamente e sem falhas sob as condições de projeto, durante um tempo especificado.
A manutenibilidade, que pode ser usada como uma medida parcial do sucesso de um projeto industrial, é a probabilidade de um produto ou serviço operar adequadamente e sem falhas sob as condições de projeto, durante um tempo especificado.
Provas
Questão presente nas seguintes provas
Em relação às características de cada tipo de material e aos seus processos de fabricação, julgue o item
A aplicação de carga no sentido transversal às fibras, em compósitos que utilizem fibras contínuas e alinhadas, provoca deformações iguais no compósito, na fibra e na matriz. Nesse caso, o módulo de elasticidade do compósito é igual ao da fibra.
A aplicação de carga no sentido transversal às fibras, em compósitos que utilizem fibras contínuas e alinhadas, provoca deformações iguais no compósito, na fibra e na matriz. Nesse caso, o módulo de elasticidade do compósito é igual ao da fibra.
Provas
Questão presente nas seguintes provas
A respeito de análise de modos de falhas (FMEA), análise de causa raiz de falha (RCFA), de função e métodos de manutenção, julgue o próximo item.
Em manutenção, associa-se o período de mortalidade infantil a uma decrescente taxa de falhas atribuídas às deficiências iniciais do projeto e dos componentes, a uma constante taxa de falhas no período de maturidade do equipamento, e a uma crescente taxa de falhas no período de mortalidade senil. A essa tríade de taxas, dado o formato genérico da função ao longo do ciclo de vida, dá-se o nome de curva da banheira.
Em manutenção, associa-se o período de mortalidade infantil a uma decrescente taxa de falhas atribuídas às deficiências iniciais do projeto e dos componentes, a uma constante taxa de falhas no período de maturidade do equipamento, e a uma crescente taxa de falhas no período de mortalidade senil. A essa tríade de taxas, dado o formato genérico da função ao longo do ciclo de vida, dá-se o nome de curva da banheira.
Provas
Questão presente nas seguintes provas
Com relação à hidrodinâmica, julgue os itens que se seguem.
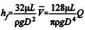
Em uma tubulação de comprimento L e diâmetro D na qual o escoamento é laminar, a perda de carga hf devido à viscosidade do fluido pode ser calculada pela equação de Hagen-Poiseuille.

em que
é a velocidade média do fluido, μ é a viscosidade absoluta, ρ é a massa específica, g é a aceleração da gravidade e Q é a vazão
Em uma tubulação de comprimento L e diâmetro D na qual o escoamento é laminar, a perda de carga hf devido à viscosidade do fluido pode ser calculada pela equação de Hagen-Poiseuille.
em que
Provas
Questão presente nas seguintes provas
Em um canteiro de obras, é necessário construir um elevador de carga com capacidade de elevar uma massa de 900 kg, incluídos o cabo e a gaiola do elevador, do nível do chão a uma determinada altura, com aceleração inicial de 1 m/s 2 . Deve-se adotar um coeficiente de segurança s = 8 contra ruptura dos cabos, que é o valor mínimo recomendado por norma. Estão disponíveis para uso cabos de aço 6 × 19 Seale AA de 8 mm, cuja carga de ruptura é 35 kN, considerando g = 10 m/s 2 . Com base nessas informações, julgue o item seguinte.
Para garantir a operação com segurança do elevador, serão necessários pelo menos três cabos de aço.
Para garantir a operação com segurança do elevador, serão necessários pelo menos três cabos de aço.
Provas
Questão presente nas seguintes provas
Cadernos
Caderno Container