Foram encontradas 1.210 questões.
Julgue os itens seguintes, relativos a conceitos básicos de probabilidade.
Ao se lançar dois dados não-viciados, a probabilidade de se obter pelo menos um número ímpar é superior a
.
Provas
Julgue os itens seguintes, relativos a conceitos básicos de probabilidade.
Considere que, em um jogo em que se utilizam dois dados não-viciados, o jogador A pontuará se, ao lançar os dados, obtiver a soma 4 ou 5, e o jogador B pontuará se obtiver a soma 6 ou 7. Nessa situação, é correto afirmar que o jogador 2 tem maior probabilidade de obter os pontos esperados.
Provas
Com respeito aos princípios básicos da contagem de elementos de um conjunto finito, julgue os itens de 26 a 28.
Considere que um código seja constituído de 4 letras retiradas do conjunto {q, r, s, t, u, v, w, x, y, z}, duas barras e 2 algarismos, escolhidos entre os algarismos de 0 a 9. Nessa situação, se forem permitidas repetições das letras e dos algarismos, então o número de possíveis códigos distintos desse tipo será igual a 10 2 (10 2 + 1).
Provas
Com respeito aos princípios básicos da contagem de elementos de um conjunto finito, julgue os itens de 26 a 28.
Considere que, em um edifício residencial, haja uma caixa de correspondência para cada um de seus 79 apartamentos e em cada uma delas tenha sido instalada uma fechadura eletrônica com código de 2 dígitos distintos, formados com os algarismos de 0 a 9. Então, de todos os códigos assim formados, 11 deles não precisaram ser utilizados.
Provas
Toda afirmativa que pode ser julgada como verdadeira ou falsa é denominada proposição.
Considere que A e B representem proposições básicas e que as expressões A V B e ¬A sejam proposições compostas. A proposição A V B é F quando A e B são F, caso contrário, é V, e ¬A é F quando A é V, e é V quando A é F.
De acordo com essas definições, julgue os itens a seguir.Independentemente da valoração V ou F atribuída às proposições A e B, é correto concluir que a proposição ¬(A V B) V (A V B) é sempre V.
Provas
Toda afirmativa que pode ser julgada como verdadeira ou falsa é denominada proposição.
Considere que A e B representem proposições básicas e que as expressões A V B e ¬A sejam proposições compostas. A proposição A V B é F quando A e B são F, caso contrário, é V, e ¬A é F quando A é V, e é V quando A é F.
De acordo com essas definições, julgue os itens a seguir.Se a proposição A for F e a proposição (¬A) V B for V, então, obrigatoriamente, a proposição B é V.
Provas
Toda afirmativa que pode ser julgada como verdadeira ou falsa é denominada proposição.
Considere que A e B representem proposições básicas e que as expressões A V B e ¬A sejam proposições compostas. A proposição A V B é F quando A e B são F, caso contrário, é V, e ¬A é F quando A é V, e é V quando A é F.
De acordo com essas definições, julgue os itens a seguir.Se a afirmativa "todos os beija-flores voam rapidamente" for considerada falsa, então a afirmativa "algum beija-flor não voa rapidamente" tem de ser considerada verdadeira.
Provas
Julgue os itens seguintes, que versam acerca de estruturas lógicas, lógica de argumentação e diagramas lógicos.
Considere que, no fluxograma ilustrado abaixo, as instruções devam ser executadas seguindo o fluxo das setas, de acordo com a avaliação verdadeira — V —, ou falsa — F —, da expressão lógica que ocorre em cada caixa oval. Nessa situação, a execução do fluxograma termina em ACEITA se, e somente se A e B forem ambas V.

Provas

Com referência ao texto I, julgue os itens a seguir.
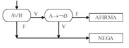
No fluxograma ilustrado abaixo, as instruções devem ser executadas seguindo-se o fluxo das setas de acordo com a avaliação da proposição que ocorre em cada caixa oval. Nesse caso, quando A e B têm valorações contrárias, a execução do fluxograma termina em NEGA.

Provas

Com referência ao texto I, julgue os itens a seguir.
Provas
Caderno Container