Foram encontradas 314 questões.
As organizações que têm como objetivo implantar um Sistema de Gestão em Saúde Ocupacional e Segurança devem utilizar a norma OHSAS (Série de Avaliação de Saúde Ocupacional e Segurança). Assinale a opção correta que indica o principal objetivo das organizações para utilizar a OHSAS.
Provas
Questão presente nas seguintes provas
Considera-se impacto ambiental qualquer alteração do meio ambiente causada por atividades humanas, e que afetam direta ou indiretamente o bem-estar da população, suas atividades, flora e fauna, as condições estéticas, sanitárias e a qualidade dos recursos ambientais. Em canteiros de obra, são vários os impactos ambientais causados pelas atividades construtivas os quais merecem atenção na identificação de estratégias de controle. Assinale a opção incorreta.
Provas
Questão presente nas seguintes provas
O PBQP-H, Programa Brasileiro da Qualidade e Produtividade do Habitat, é um programa do Ministério das Cidades que visa elevar os patamares da qualidade e produtividade da construção civil e que tem o Sistema de Avaliação da Conformidade de Empresas de Serviços e Obras (SIAC), como um dos seus projetos propulsores. Assinale a opção incorreta.
Provas
Questão presente nas seguintes provas
No processo de implementação de uma política de saúde ocupacional e segurança (PSOS), a mesma deverá ser autorizada pela alta administração da organização, que deve declarar claramente os objetivos globais e compromissos com a saúde e segurança em seus processos. É correto afirmar que a PSOS
Provas
Questão presente nas seguintes provas
Sobre os vidros usados na construção civil, assinale a opção incorreta.
Provas
Questão presente nas seguintes provas
Nas Instalações Elétricas de baixa tensão, desligamentos frequentes são sinal de sobrecarga. Quando um disjuntor ou fusível atua, desligando algum circuito ou a instalação inteira, a causa pode ser uma sobrecarga ou um curto-circuito. Segundo a ABNT NBR 5410:2008, é correto afirmar:
Provas
Questão presente nas seguintes provas
Sobre serviços de pintura, assinale a opção incorreta.
Provas
Questão presente nas seguintes provas
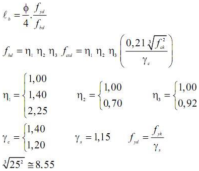
Considere o comprimento de ancoragem básico ( lb ) dado pelas expressões abaixo:

Em que:
η1 é o coeficiente para barras lisas, dentadas ou nervuradas;
η2 é o coeficiente para barras em situações de boa ou má aderência;
η3 é o coeficiente para barras menores ou maiores de 32 mm;
fcd, fbd e fyd em MPa.
Assim, determinar o valor do comprimento (mais próximo) de ancoragem básico,lb, das barras de armadura positiva (armadura inferior) a ser usado em vigas de concreto armado a serem construídas com concreto classe C25 e aço CA-50. Considerar apenas barras nervuradas com diâmetros inferiores a 40 mm e combinações normais de carregamento - ELU.

Em que:
η1 é o coeficiente para barras lisas, dentadas ou nervuradas;
η2 é o coeficiente para barras em situações de boa ou má aderência;
η3 é o coeficiente para barras menores ou maiores de 32 mm;
fcd, fbd e fyd em MPa.
Assim, determinar o valor do comprimento (mais próximo) de ancoragem básico,lb, das barras de armadura positiva (armadura inferior) a ser usado em vigas de concreto armado a serem construídas com concreto classe C25 e aço CA-50. Considerar apenas barras nervuradas com diâmetros inferiores a 40 mm e combinações normais de carregamento - ELU.
Provas
Questão presente nas seguintes provas
Os recalques de fundações, admissíveis ou aqueles não admissíveis, dependem da capacidade de carga e deformabilidade do solo que, por sua vez, dependem de diversos fatores, entre eles: tipo e estado do solo; disposição do lençol freático; intensidade da carga; tipo de fundação (direta ou profunda); cota de apoio da fundação; interferência de fundações vizinhas. Assinale a opção incorreta.
Provas
Questão presente nas seguintes provas
Em instalações elétricas de baixa tensão, a seção mínima do condutor fase para um circuito de força é:
Provas
Questão presente nas seguintes provas
Cadernos
Caderno Container