Foram encontradas 170 questões.
A derivada \( f'(x) \) da função \( f\ \left(x\right) \) = \( \sqrt{\dfrac{x}{x+1}} \) é dada por:
Provas
Dada a equação diferencial ordinária x2+ y2 - 2.x.y.y= 0, a solução é:
Provas
Considere uma corda esticada ao longo do eixo x entre x=0 e x=L, A posição vertical da corda no ponto x e no tempo t é dada por u(x,t). A equação da onda unidimensional que descreve a vibração da corda é dada por \( \dfrac{d''u}{dt''} \) = c² \( \dfrac{d''u}{dx''} \) onde c é a velocidade da onda. Sabendo que u(x,t) = x3 - xt + 3t2, a velocidade c em função de x que a onda atingirá em t= 10s é:
Provas
Calcule a integral dupla ∫\( \int_{0,5n}^{1,5n}\left[\int_0^1\left(\cos\sec\ x\ +\ 2y\right)dy\right].\ dx \) e assinale a opção correta.
Provas
Assinale a opção que completa corretamente as lacunas das sentenças abaixo.
Considerando um arranjo de entrada de n números, o __________ é um algoritmo de ordenação cujo tempo de execução do pior caso é _______. Apesar desse tempo de execução lento no pior caso, o algoritmo, com frequência, é a melhor opção prática para ordenação, devido a sua notável eficiência na média, em que seu tempo de execução esperado é ______________.
Provas
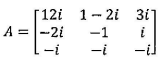
Considere a matriz abaixo.

A matriz acima apresenta elementos no conjunto dos números complexos. Sendo n=| detA |2, então o valor da expressão \( \left[tg^2\pi n\ -\ \cos\ \left(\dfrac{\left(n-6\right)\pi}{250}\right)\ +\ 4\right]^3 \) é:
Provas
Uma máquina de Carnot opera entre duas fontes térmicas, cujas temperaturas absolutas são T1 e T2 (Kelvin), sendo T1 >T2. O rendimento da máquina é de 60 %, produzindo um trabalho igual à 30 J por ciclo. Mantendo-se constante a temperatura da fonte quente T1, deseja-se dobrar o rendimento da máquina, alterando-se a temperatura da fonte fria. Dessa forma, a variação percentual da temperatura T2, ou seja, (△T2/T2), é aproximadamente:
Provas
Dada a equação ordinária y = 2x\( \dfrac{8}{2} \) + x2, a solução dela é:
Provas
Considere a tabela abaixo que discrimina as notas atingidas por três alunos.

Considere, também, que as disciplinas possuem pesos iguais para o cálculo da média geral. Com base nessas informações, é correto afirmar que:
Provas
Considere um grupo de 60 alunos do Curso de Formação de Oficiais, dos quais 50 são engenheiros e 10 são médicos. Para iniciar o Teste de Aptidão Física (TAF) um aluno desse grupo é escolhido ao acaso e em seguida outro aluno é escolhido ao acaso também. Dessa forma, conclui-se que a probabilidade de ambos os escolhidos serem médicos é de:
Provas
Caderno Container