Foram encontradas 900 questões.
Qual é o pH de uma solução de NaOH 2,ox10-5 M, considerando que a constante de dissociação da água é de 1,0x10-14 a 25º C?
Dados: log 5 = 0,7 e log 2 = 0,3.
Provas
Com relação à formação de eletrólitos fortes e fracos e aos conceitos dos ácidos e bases, assinale a opção correta.
Provas
O Cu4(OH)6(SO4) é um sal pouco solúvel em água, conforme descrito na equação química abaixo:
Cu4(OH)6(SO4)(s) !$ \rightleftharpoons !$ 4Cu2+(aq) + 6OH-(aq) + SO42(aq)
Assumindo que a concentração do íon OH-, na solução saturada, permanece constante e igual a 1,0x106 M, qual é a fórmula do produto de solubilidade da reação e a concentração do íon sulfato, respectivamente?
Dado:
Produto de solubilidade do Cu4(OH)6(SO4):Kps=2,56 x 10-69
Provas
O catalisador é uma substância que aumenta a velocidade de uma reação química sem ser consumido, fornecendo um mecanismo reacional alternativo com baixa energia. A energia associada a esse mecanismo é denominada:
Provas
Em relação ás propriedades gerais dos elementos, classifique as afirmativas abaixo em verdadeiro (V) ou falso (F) e assinale a opção que apresenta a sequência correta.
( ) O raio atômico do Ca é maior do que o do K.
( ) O raio iônico do Na+ é maior do que o do Li+.
( ) A primeira energia de ionização do Na é maior do que a do Mg.
( ) A afinidade eletrônica do CI é maior do que a do I.
( ) A eletronegatividade do F é maior do que a do CI.
Provas
Do princípio de Le Châtelier sabe-se que, se o equilíbrio de um sistema for perturbado, tentará se modificar, a fim de diminuir o efeito da perturbação. Diante disso, assinale a opção correta.
Provas
Uma amostra de gás metano, CH4, foi aquecida lentamente na pressão constante de 0,90 bar. O volume do gás foi medido em diferentes temperaturas e um gráfico de volume versus temperatura foi construído. Sabendo que inclinação da reta foi 2,88x10-4 UK, calcule a massa do gás metano e assinale a opção correta.
Provas
A proteção catódica é uma técnica de combate à corrosão, usada como complementar à ação protetora dos revestimentos que, por melhores e mais bem aplicados que sejam, sempre contêm falhas e poros e se tornam deficientes com o tempo. Para a obtenção da proteção catódica, dois sistemas são utilizados, ambos baseados no princípio de injeção de corrente elétrica na estrutura: proteção catódica galvânica e a proteção catódica por corrente impressa. Considerando a necessidade de instalação de anodos de zinco em uma estrutura metálica revestida e submersa em água do mar, calcule a corrente elétrica necessária para sua proteção catódica, em A (Ampere), sabendo que a estrutura de 100 m2 está pintada com um revestimento de eficiência média igual a 90% e que se movimenta em relação à água do mar a uma velocidade de 3 m/s, e assinale a opção correta.
Dados: densidade de corrente elétrica da água do mar = 55 mA/m2.
Tabela: Fator de velocidade (F) em função da velocidade do eletrólito em relação à estrutura.
| Velocidade (m/s) | F |
| 1 | 1,00 |
| 2 | 1, 11 |
| 3 | 1, 17 |
| 4 | 1,22 |
| 5 | 1,24 |
| 6 | 1,25 |
Provas
Os elementos químicos do Grupo 17 da Tabela Periódica (flúor, cloro, bromo, iodo e ástato) são chamados de halogênios e têm diversas aplicações industriais. Com relação a essas aplicações, é INCORRETO afirmar que:
Provas
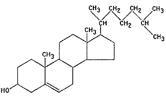
Observe a seguinte fórmula estrutural do composto colesterol.

Assinale a opção que apresenta o número total de centros de quiralidade desse composto.
Provas
Caderno Container