Foram encontradas 490 questões.
O esquema relacional abaixo descreve o banco de dados usado por uma operadora de TV a cabo para registrar os filmes que serão exibidos em seus diversos canais durante o mês corrente. Um filme pode ser exibido várias vezes durante o mês, possivelmente em canais e horários distintos. Um canal exibe vários filmes.

Provas
Uma empresa pretende modelar um banco de dados multidimensional para tomada de decisão na área de vendas. O gerente da área quer poder avaliar os dados históricos de vendas, por código ou nome de produto, por mês/ano, por loja e por cidade (há várias lojas em uma mesma cidade; das cidades é registrado apenas o seu nome; é necessário registrar em que cidade está cada loja).
Nesse banco de dados bem projetado, segundo um esquema estrela, haverá
Provas
Provas
- Banco de Dados RelacionalFundamentos de Banco de Dados Relacionais
- Banco de Dados RelacionalRestrições de IntegridadeIntegridade Referencial
- Banco de Dados RelacionalTipos de ChavesChave Estrangeira
- Modelagem de DadosModelo Entidade-Relacionamento
Provas
A notação a seguir é uma forma alternativa de descrever esquemas de bancos de dados relacionais, sem que seja necessário fazê-lo por meio de comandos SQL.
- Uma tabela é descrita por meio de um nome e um conjunto de colunas, separadas por vírgulas.
- Por serem irrelevantes para a questão, os tipos de dados das colunas não são especificados.
- Colchetes são usados para representar colunas que admitem o valor nulo.
- Colunas sublinhadas representam a chave primária de uma tabela.
- Chaves estrangeiras são representadas por meio da cláusula REF:
<lista_de_colunas> REF <nome_de_tabela>
Seja o seguinte diagrama E-R:

Qual esquema relacional preserva a semântica do modelo E-R exibido na Figura acima?
Provas
Considere que, em um modelo relacional, há três tabelas bem formadas denominadas Jogador, Participa e Time, de tal forma que a tabela Participa, que representa que jogador participa de que time, tem a sua PK formada pela PK de Jogador e pela PK de Time. A PK dos jogadores é o seu CPF, e a PK dos times é o seu CNPJ. Ou seja, Jogador (CPF, Nome, ...), Time (CNPJ, Nome, UF, ...) e Participa (CPF, CNPJ).
O comando SQL que apresenta o nome dos jogadores dos times do Rio de Janeiro tem a seguinte estrutura:
Provas
O esquema relacional abaixo descreve o banco de dados usado por uma operadora de TV a cabo para registrar os filmes que serão exibidos em seus diversos canais durante o mês corrente. Um filme pode ser exibido várias vezes durante o mês, possivelmente em canais e horários distintos. Um canal exibe vários filmes.

Provas
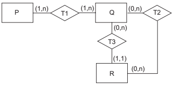
Os conjuntos a seguir representam um banco de dados relacional.
P ={p1 ,p2 ,p3 }
Q ={q1 ,q2 ,q3 }
R ={r1 ,r2 ,r3 ,r4 }
T1 ={(p1 ,q1 ),(p1 ,q2 ),(p1 ,q3 )}
T2 ={ }
T3 ={(q1 ,r1 ),(q2 ,r3 ),(q3 ,r4 )}
Qual modelo E-R define regras de cardinalidade compatíveis com esse banco de dados?
Provas
Provas
Provas
Caderno Container