Foram encontradas 967 questões.
A elaboração do Mapa de Riscos cabe ao(à)
Provas
Questão presente nas seguintes provas
Os integrantes do SESMT devem trabalhar em conjunto na prevenção de doenças ocupacionais. As informações do ambiente de trabalho descritas no PPRA são fundamentais para que o médico do trabalho elabore as ações de saúde do PCMSO.
Em ambientes onde o nível de pressão sonora, identificado por dosimetria, seja de 92 dB para uma jornada de 8 h diárias, qual medida de prevenção pode ser adotada pelo SESMT, e qual exame deve ser previsto no PCMSO para controle?
Em ambientes onde o nível de pressão sonora, identificado por dosimetria, seja de 92 dB para uma jornada de 8 h diárias, qual medida de prevenção pode ser adotada pelo SESMT, e qual exame deve ser previsto no PCMSO para controle?
Provas
Questão presente nas seguintes provas
No caso de um acidente com queda de aproximadamente 3 metros de altura, ao socorrer o acidentado, identifica-se que ele está inconsciente, em decúbito ventral (de bruços), sem sangramentos visíveis.
Que conduta se faz necessária, precedendo qualquer outra?
Que conduta se faz necessária, precedendo qualquer outra?
Provas
Questão presente nas seguintes provas
Em relação aos diagramas E-R, presente no enunciado, as seguintes convenções foram adotadas:
• Os atributos das entidades e das relações são representados por círculos.
• Os atributos identificadores são representados por círculos preenchidos. Em relação aos esquemas relacionais apresentados nas alternativas, as seguintes convenções foram adotadas:
• Uma tabela tem um nome e uma lista de colunas entre parênteses.
• Os tipos de dados das colunas são irrelevantes para as questões.
• As colunas que compõem as chaves primárias estão sublinhadas.
• Uma chave estrangeira é mostrada na forma
representa a(s) coluna(s) que faz(em) parte da chave estrangeira e
representa a tabela que a chave estrangeira referencia.
O diagrama E-R abaixo exibe uma hierarquia de entidades:

Qual esquema Relacional preserva a semântica do modelo acima?
• Os atributos das entidades e das relações são representados por círculos.
• Os atributos identificadores são representados por círculos preenchidos. Em relação aos esquemas relacionais apresentados nas alternativas, as seguintes convenções foram adotadas:
• Uma tabela tem um nome e uma lista de colunas entre parênteses.
• Os tipos de dados das colunas são irrelevantes para as questões.
• As colunas que compõem as chaves primárias estão sublinhadas.
• Uma chave estrangeira é mostrada na forma
O diagrama E-R abaixo exibe uma hierarquia de entidades:

Qual esquema Relacional preserva a semântica do modelo acima?
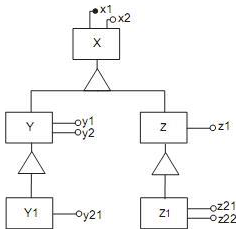
Provas
Questão presente nas seguintes provas
Em relação aos diagramas E-R, presente no enunciado, as seguintes convenções foram adotadas:
• Os atributos das entidades e das relações são representados por círculos.
• Os atributos identificadores são representados por círculos preenchidos.
Em relação aos esquemas relacionais apresentados nas alternativas, as seguintes convenções foram adotadas:
• Uma tabela tem um nome e uma lista de colunas entre parênteses.
• Os tipos de dados das colunas são irrelevantes para as questões.
• As colunas que compõem as chaves primárias estão sublinhadas.
• Uma chave estrangeira é mostrada na forma
representa a(s) coluna(s) que faz(em) parte da chave estrangeira e
representa a tabela que a chave estrangeira referencia.
Seja o seguinte modelo E-R:

Qual esquema Relacional preserva a semântica do modelo acima?
• Os atributos das entidades e das relações são representados por círculos.
• Os atributos identificadores são representados por círculos preenchidos.
Em relação aos esquemas relacionais apresentados nas alternativas, as seguintes convenções foram adotadas:
• Uma tabela tem um nome e uma lista de colunas entre parênteses.
• Os tipos de dados das colunas são irrelevantes para as questões.
• As colunas que compõem as chaves primárias estão sublinhadas.
• Uma chave estrangeira é mostrada na forma
Seja o seguinte modelo E-R:

Qual esquema Relacional preserva a semântica do modelo acima?
Provas
Questão presente nas seguintes provas
Seja a seguinte sequência de operações da Álgebra Relacional:
πA1,A2 (σA1=5(A ⋈ A1=B3 B))
Considerando-se essa sequência da esquerda para a direita, que operações foram empregadas?
Provas
Questão presente nas seguintes provas
Seja o seguinte diagrama E-R:

Os conjuntos a seguir exibem o estado de um banco de dados descrito pelo modelo acima:
X={x1 ,x2 ,x3 }
Y={y1 ,y2 ,y3 ,y4 }
Em qual relação os elementos atendem às regras de multiplicidade definidas no diagrama acima?

Os conjuntos a seguir exibem o estado de um banco de dados descrito pelo modelo acima:
X={x1 ,x2 ,x3 }
Y={y1 ,y2 ,y3 ,y4 }
Em qual relação os elementos atendem às regras de multiplicidade definidas no diagrama acima?
Provas
Questão presente nas seguintes provas
Uma Tabela R se encontra na terceira forma normal (3FN) se, e somente, R
Provas
Questão presente nas seguintes provas
Um dos objetivos da normalização de dados é
Provas
Questão presente nas seguintes provas
Que tipo de aplicação OLAP combina a tecnologia de banco de dados relacionais com a de banco de dados multidimensionais?
Provas
Questão presente nas seguintes provas
Cadernos
Caderno Container