Magna Concursos

Foram encontradas 40 questões.

1030415 Ano: 2018
Disciplina: Matemática
Banca: FAUEL
Orgão: IPRERINE
Provas:
Qual o resultado da simplificação da expressão 5/√75 ?
 

Provas

Questão presente nas seguintes provas
1030412 Ano: 2018
Disciplina: Matemática
Banca: FAUEL
Orgão: IPRERINE
Provas:

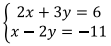
Qual o resultado do produto entre os valores da solução do sistema de equações a seguir?

enunciado 1030412-1

 

Provas

Questão presente nas seguintes provas
1030411 Ano: 2018
Disciplina: Matemática
Banca: FAUEL
Orgão: IPRERINE
Provas:

Qual a área do triângulo retângulo a seguir?

Considere: sen30° = 1/2 cos30° = √3/2 e tg30° = √3/3

enunciado 1030411-1

 

Provas

Questão presente nas seguintes provas
1030409 Ano: 2018
Disciplina: Português
Banca: FAUEL
Orgão: IPRERINE
Provas:

Escutar música clássica tem algum benefício real?

Clemency Burton-Hill *Para a BBC Culture

14 julho 2018

Somos uma espécie que produz música - sempre fomos, sempre seremos. Também somos uma espécie de intercâmbio musical: muito antes de adolescentes apaixonados trocarem suas playlists, ou o serviço de streaming nos permitir compartilhar nossas faixas favoritas, já nos comunicávamos e nos conectávamos através da música.

Evoluímos como humanos ao nos reunir ao redor da fogueira depois de um longo dia de caça e coleta para cantar canções e contar histórias com músicas. Era isso que nossos ancestrais faziam; é assim que eles davam sentido ao mundo; foi assim que eles aprenderam a ser.

Esse é um impulso ainda fundamental sobre quem somos. Hoje, no entanto, nossas vidas modernas estão desintegradas e exauridas em um grau sem precedentes. Quem tem o luxo de encontrar tempo todo dia para prestar total atenção a uma determinada música? E, por outro lado, talvez nunca tenhamos precisado tanto do espaço emocional que a música - especialmente a clássica - nos oferece.

Pesquisas científicas vêm mostrando que atos de autocuidado trazem benefícios indescritíveis à nossa saúde mental e nosso bem-estar, mas pessoalmente nunca consegui manter, por exemplo, uma meditação ou ioga regularmente.

Nunca vou à academia, não importa o quão nobres sejam minhas intenções. Eu funciono essencialmente à base de café e açúcar. Sempre deixo a declaração do meu imposto de renda para o final do prazo. Todo ano defino metas que não consigo cumprir - e com isso fico ainda mais estressada. Tenho certeza de que não estou sozinha (pelo menos é o que espero).

Mas na realidade até eu tenho a disciplina para, em alguns minutos por dia, pôr meus fones de ouvido, escutar uma única peça musical e me transformar. Embora tenha tocado o violino desde a infância e trabalhado escrevendo e apresentando programas de música clássica, só entendi o efeito milagroso do contato diário com essa música depois de dois anos particularmente difíceis.

Dores pessoais, malabarismos entre as incompatíveis demandas de uma carreira freelancer implacável e uma criança enérgica; um permanente sentimento de estar à beira do esgotamento enquanto dizia ao mundo “está tudo bem!” - nem é preciso dizer que estava num estado pouco saudável. No entanto, nenhuma das soluções que experimentei teve efeito. Exceto a música.

Quando tornei meu hábito musical um ritual diário, comecei a me sentir menos ansiosa quase que imediatamente. Fiz uma curadoria mensal com uma peça clássica por dia. Entrar no metrô e apertar o play em vez de automaticamente ser sugada pelas redes sociais parecia me estabilizar espiritualmente. Eu comecei a esperar ansiosamente por isso. E me ocorreu que, se eu posso me beneficiar de uma forma tão significativa com esse pequeno mas poderoso hábito de “manutenção da alma”, então outros também poderiam.

Acredito que os maiores trabalhos musicais são motores de empatia; eles nos permitem viajar sem nos deslocar: para outras vidas, idades, almas. Eles também são robustos: encaixam-se na nossa vida multitarefa, nossa vida real. Então não questione se você tem as “credenciais” certas para se tornar um aficionado por música clássica ou se está ouvindo “de forma correta”. Confie em mim, o único critério é ter orelhas.

Você pode ouvir a playlist enquanto se desloca; levá-la para uma caminhada; colocá-la ao fundo quando prepara o café da manhã de seus filhos ou os leva à escola; faça dela sua trilha sonora para preparar o jantar, beber ou relaxar, para quando lavar ou passar a roupa, quando ler seus emails; tudo o que você precisa fazer é apertar o play. Acredito que há poucos momentos da vida que a música não consiga complementar. Isso é música para se viver - para viver sua melhor vida.

(Trecho adaptado. Disponível em: https://www.bbc. com/portuguese/vert-cul-44283069)



Clemency Burton-Hill, apresentadora da BBC Radio 3, é autora do livro ‘Year of Wonder - Classical Music for Everyday’ (Ano de Fascinação - Música Clássica para Todos os Dias, em tradução livre), em que apresenta compositores e suas obras, desde a era medieval até os dias atuais, com sugestões de músicas a serem escutadas a cada dia do ano.

“Hoje, NO ENTANTO, nossas vidas modernas estão desintegradas e exauridas em um grau sem precedentes.”

Assinale a alternativa cujo elemento que pode substituir sem prejuízo gramatical nem de sentido o que está destacado no excerto acima.

 

Provas

Questão presente nas seguintes provas
1030406 Ano: 2018
Disciplina: Português
Banca: FAUEL
Orgão: IPRERINE
Provas:

Escutar música clássica tem algum benefício real?

Clemency Burton-Hill *Para a BBC Culture

14 julho 2018

Somos uma espécie que produz música - sempre fomos, sempre seremos. Também somos uma espécie de intercâmbio musical: muito antes de adolescentes apaixonados trocarem suas playlists, ou o serviço de streaming nos permitir compartilhar nossas faixas favoritas, já nos comunicávamos e nos conectávamos através da música.

Evoluímos como humanos ao nos reunir ao redor da fogueira depois de um longo dia de caça e coleta para cantar canções e contar histórias com músicas. Era isso que nossos ancestrais faziam; é assim que eles davam sentido ao mundo; foi assim que eles aprenderam a ser.

Esse é um impulso ainda fundamental sobre quem somos. Hoje, no entanto, nossas vidas modernas estão desintegradas e exauridas em um grau sem precedentes. Quem tem o luxo de encontrar tempo todo dia para prestar total atenção a uma determinada música? E, por outro lado, talvez nunca tenhamos precisado tanto do espaço emocional que a música - especialmente a clássica - nos oferece.

Pesquisas científicas vêm mostrando que atos de autocuidado trazem benefícios indescritíveis à nossa saúde mental e nosso bem-estar, mas pessoalmente nunca consegui manter, por exemplo, uma meditação ou ioga regularmente.

Nunca vou à academia, não importa o quão nobres sejam minhas intenções. Eu funciono essencialmente à base de café e açúcar. Sempre deixo a declaração do meu imposto de renda para o final do prazo. Todo ano defino metas que não consigo cumprir - e com isso fico ainda mais estressada. Tenho certeza de que não estou sozinha (pelo menos é o que espero).

Mas na realidade até eu tenho a disciplina para, em alguns minutos por dia, pôr meus fones de ouvido, escutar uma única peça musical e me transformar. Embora tenha tocado o violino desde a infância e trabalhado escrevendo e apresentando programas de música clássica, só entendi o efeito milagroso do contato diário com essa música depois de dois anos particularmente difíceis.

Dores pessoais, malabarismos entre as incompatíveis demandas de uma carreira freelancer implacável e uma criança enérgica; um permanente sentimento de estar à beira do esgotamento enquanto dizia ao mundo “está tudo bem!” - nem é preciso dizer que estava num estado pouco saudável. No entanto, nenhuma das soluções que experimentei teve efeito. Exceto a música.

Quando tornei meu hábito musical um ritual diário, comecei a me sentir menos ansiosa quase que imediatamente. Fiz uma curadoria mensal com uma peça clássica por dia. Entrar no metrô e apertar o play em vez de automaticamente ser sugada pelas redes sociais parecia me estabilizar espiritualmente. Eu comecei a esperar ansiosamente por isso. E me ocorreu que, se eu posso me beneficiar de uma forma tão significativa com esse pequeno mas poderoso hábito de “manutenção da alma”, então outros também poderiam.

Acredito que os maiores trabalhos musicais são motores de empatia; eles nos permitem viajar sem nos deslocar: para outras vidas, idades, almas. Eles também são robustos: encaixam-se na nossa vida multitarefa, nossa vida real. Então não questione se você tem as “credenciais” certas para se tornar um aficionado por música clássica ou se está ouvindo “de forma correta”. Confie em mim, o único critério é ter orelhas.

Você pode ouvir a playlist enquanto se desloca; levá-la para uma caminhada; colocá-la ao fundo quando prepara o café da manhã de seus filhos ou os leva à escola; faça dela sua trilha sonora para preparar o jantar, beber ou relaxar, para quando lavar ou passar a roupa, quando ler seus emails; tudo o que você precisa fazer é apertar o play. Acredito que há poucos momentos da vida que a música não consiga complementar. Isso é música para se viver - para viver sua melhor vida.

(Trecho adaptado. Disponível em: https://www.bbc. com/portuguese/vert-cul-44283069)



Clemency Burton-Hill, apresentadora da BBC Radio 3, é autora do livro ‘Year of Wonder - Classical Music for Everyday’ (Ano de Fascinação - Música Clássica para Todos os Dias, em tradução livre), em que apresenta compositores e suas obras, desde a era medieval até os dias atuais, com sugestões de músicas a serem escutadas a cada dia do ano.

Quem tem o luxo de encontrar tempo todo dia para prestar total atenção a uma determinada música? E, por outro lado, talvez nunca tenhamos precisado tanto do espaço emocional que a música - especialmente a clássica - nos oferece.
A respeito da flexão verbal, assinale a alternativa INCORRETA.
 

Provas

Questão presente nas seguintes provas
1030405 Ano: 2018
Disciplina: Português
Banca: FAUEL
Orgão: IPRERINE
Provas:

Escutar música clássica tem algum benefício real?

Clemency Burton-Hill *Para a BBC Culture

14 julho 2018

Somos uma espécie que produz música - sempre fomos, sempre seremos. Também somos uma espécie de intercâmbio musical: muito antes de adolescentes apaixonados trocarem suas playlists, ou o serviço de streaming nos permitir compartilhar nossas faixas favoritas, já nos comunicávamos e nos conectávamos através da música.

Evoluímos como humanos ao nos reunir ao redor da fogueira depois de um longo dia de caça e coleta para cantar canções e contar histórias com músicas. Era isso que nossos ancestrais faziam; é assim que eles davam sentido ao mundo; foi assim que eles aprenderam a ser.

Esse é um impulso ainda fundamental sobre quem somos. Hoje, no entanto, nossas vidas modernas estão desintegradas e exauridas em um grau sem precedentes. Quem tem o luxo de encontrar tempo todo dia para prestar total atenção a uma determinada música? E, por outro lado, talvez nunca tenhamos precisado tanto do espaço emocional que a música - especialmente a clássica - nos oferece.

Pesquisas científicas vêm mostrando que atos de autocuidado trazem benefícios indescritíveis à nossa saúde mental e nosso bem-estar, mas pessoalmente nunca consegui manter, por exemplo, uma meditação ou ioga regularmente.

Nunca vou à academia, não importa o quão nobres sejam minhas intenções. Eu funciono essencialmente à base de café e açúcar. Sempre deixo a declaração do meu imposto de renda para o final do prazo. Todo ano defino metas que não consigo cumprir - e com isso fico ainda mais estressada. Tenho certeza de que não estou sozinha (pelo menos é o que espero).

Mas na realidade até eu tenho a disciplina para, em alguns minutos por dia, pôr meus fones de ouvido, escutar uma única peça musical e me transformar. Embora tenha tocado o violino desde a infância e trabalhado escrevendo e apresentando programas de música clássica, só entendi o efeito milagroso do contato diário com essa música depois de dois anos particularmente difíceis.

Dores pessoais, malabarismos entre as incompatíveis demandas de uma carreira freelancer implacável e uma criança enérgica; um permanente sentimento de estar à beira do esgotamento enquanto dizia ao mundo “está tudo bem!” - nem é preciso dizer que estava num estado pouco saudável. No entanto, nenhuma das soluções que experimentei teve efeito. Exceto a música.

Quando tornei meu hábito musical um ritual diário, comecei a me sentir menos ansiosa quase que imediatamente. Fiz uma curadoria mensal com uma peça clássica por dia. Entrar no metrô e apertar o play em vez de automaticamente ser sugada pelas redes sociais parecia me estabilizar espiritualmente. Eu comecei a esperar ansiosamente por isso. E me ocorreu que, se eu posso me beneficiar de uma forma tão significativa com esse pequeno mas poderoso hábito de “manutenção da alma”, então outros também poderiam.

Acredito que os maiores trabalhos musicais são motores de empatia; eles nos permitem viajar sem nos deslocar: para outras vidas, idades, almas. Eles também são robustos: encaixam-se na nossa vida multitarefa, nossa vida real. Então não questione se você tem as “credenciais” certas para se tornar um aficionado por música clássica ou se está ouvindo “de forma correta”. Confie em mim, o único critério é ter orelhas.

Você pode ouvir a playlist enquanto se desloca; levá-la para uma caminhada; colocá-la ao fundo quando prepara o café da manhã de seus filhos ou os leva à escola; faça dela sua trilha sonora para preparar o jantar, beber ou relaxar, para quando lavar ou passar a roupa, quando ler seus emails; tudo o que você precisa fazer é apertar o play. Acredito que há poucos momentos da vida que a música não consiga complementar. Isso é música para se viver - para viver sua melhor vida.

(Trecho adaptado. Disponível em: https://www.bbc. com/portuguese/vert-cul-44283069)



Clemency Burton-Hill, apresentadora da BBC Radio 3, é autora do livro ‘Year of Wonder - Classical Music for Everyday’ (Ano de Fascinação - Música Clássica para Todos os Dias, em tradução livre), em que apresenta compositores e suas obras, desde a era medieval até os dias atuais, com sugestões de músicas a serem escutadas a cada dia do ano.

Assinale a alternativa em que a palavra está CORRETAMENTE grafada com hífen.
 

Provas

Questão presente nas seguintes provas
1030404 Ano: 2018
Disciplina: Português
Banca: FAUEL
Orgão: IPRERINE
Provas:

Escutar música clássica tem algum benefício real?

Clemency Burton-Hill *Para a BBC Culture

14 julho 2018

Somos uma espécie que produz música - sempre fomos, sempre seremos. Também somos uma espécie de intercâmbio musical: muito antes de adolescentes apaixonados trocarem suas playlists, ou o serviço de streaming nos permitir compartilhar nossas faixas favoritas, já nos comunicávamos e nos conectávamos através da música.

Evoluímos como humanos ao nos reunir ao redor da fogueira depois de um longo dia de caça e coleta para cantar canções e contar histórias com músicas. Era isso que nossos ancestrais faziam; é assim que eles davam sentido ao mundo; foi assim que eles aprenderam a ser.

Esse é um impulso ainda fundamental sobre quem somos. Hoje, no entanto, nossas vidas modernas estão desintegradas e exauridas em um grau sem precedentes. Quem tem o luxo de encontrar tempo todo dia para prestar total atenção a uma determinada música? E, por outro lado, talvez nunca tenhamos precisado tanto do espaço emocional que a música - especialmente a clássica - nos oferece.

Pesquisas científicas vêm mostrando que atos de autocuidado trazem benefícios indescritíveis à nossa saúde mental e nosso bem-estar, mas pessoalmente nunca consegui manter, por exemplo, uma meditação ou ioga regularmente.

Nunca vou à academia, não importa o quão nobres sejam minhas intenções. Eu funciono essencialmente à base de café e açúcar. Sempre deixo a declaração do meu imposto de renda para o final do prazo. Todo ano defino metas que não consigo cumprir - e com isso fico ainda mais estressada. Tenho certeza de que não estou sozinha (pelo menos é o que espero).

Mas na realidade até eu tenho a disciplina para, em alguns minutos por dia, pôr meus fones de ouvido, escutar uma única peça musical e me transformar. Embora tenha tocado o violino desde a infância e trabalhado escrevendo e apresentando programas de música clássica, só entendi o efeito milagroso do contato diário com essa música depois de dois anos particularmente difíceis.

Dores pessoais, malabarismos entre as incompatíveis demandas de uma carreira freelancer implacável e uma criança enérgica; um permanente sentimento de estar à beira do esgotamento enquanto dizia ao mundo “está tudo bem!” - nem é preciso dizer que estava num estado pouco saudável. No entanto, nenhuma das soluções que experimentei teve efeito. Exceto a música.

Quando tornei meu hábito musical um ritual diário, comecei a me sentir menos ansiosa quase que imediatamente. Fiz uma curadoria mensal com uma peça clássica por dia. Entrar no metrô e apertar o play em vez de automaticamente ser sugada pelas redes sociais parecia me estabilizar espiritualmente. Eu comecei a esperar ansiosamente por isso. E me ocorreu que, se eu posso me beneficiar de uma forma tão significativa com esse pequeno mas poderoso hábito de “manutenção da alma”, então outros também poderiam.

Acredito que os maiores trabalhos musicais são motores de empatia; eles nos permitem viajar sem nos deslocar: para outras vidas, idades, almas. Eles também são robustos: encaixam-se na nossa vida multitarefa, nossa vida real. Então não questione se você tem as “credenciais” certas para se tornar um aficionado por música clássica ou se está ouvindo “de forma correta”. Confie em mim, o único critério é ter orelhas.

Você pode ouvir a playlist enquanto se desloca; levá-la para uma caminhada; colocá-la ao fundo quando prepara o café da manhã de seus filhos ou os leva à escola; faça dela sua trilha sonora para preparar o jantar, beber ou relaxar, para quando lavar ou passar a roupa, quando ler seus emails; tudo o que você precisa fazer é apertar o play. Acredito que há poucos momentos da vida que a música não consiga complementar. Isso é música para se viver - para viver sua melhor vida.

(Trecho adaptado. Disponível em: https://www.bbc. com/portuguese/vert-cul-44283069)



Clemency Burton-Hill, apresentadora da BBC Radio 3, é autora do livro ‘Year of Wonder - Classical Music for Everyday’ (Ano de Fascinação - Música Clássica para Todos os Dias, em tradução livre), em que apresenta compositores e suas obras, desde a era medieval até os dias atuais, com sugestões de músicas a serem escutadas a cada dia do ano.

Assinale a alternativa em que a crase é facultativa.
 

Provas

Questão presente nas seguintes provas
1030401 Ano: 2018
Disciplina: Português
Banca: FAUEL
Orgão: IPRERINE
Provas:

Escutar música clássica tem algum benefício real?

Clemency Burton-Hill *Para a BBC Culture

14 julho 2018

Somos uma espécie que produz música - sempre fomos, sempre seremos. Também somos uma espécie de intercâmbio musical: muito antes de adolescentes apaixonados trocarem suas playlists, ou o serviço de streaming nos permitir compartilhar nossas faixas favoritas, já nos comunicávamos e nos conectávamos através da música.

Evoluímos como humanos ao nos reunir ao redor da fogueira depois de um longo dia de caça e coleta para cantar canções e contar histórias com músicas. Era isso que nossos ancestrais faziam; é assim que eles davam sentido ao mundo; foi assim que eles aprenderam a ser.

Esse é um impulso ainda fundamental sobre quem somos. Hoje, no entanto, nossas vidas modernas estão desintegradas e exauridas em um grau sem precedentes. Quem tem o luxo de encontrar tempo todo dia para prestar total atenção a uma determinada música? E, por outro lado, talvez nunca tenhamos precisado tanto do espaço emocional que a música - especialmente a clássica - nos oferece.

Pesquisas científicas vêm mostrando que atos de autocuidado trazem benefícios indescritíveis à nossa saúde mental e nosso bem-estar, mas pessoalmente nunca consegui manter, por exemplo, uma meditação ou ioga regularmente.

Nunca vou à academia, não importa o quão nobres sejam minhas intenções. Eu funciono essencialmente à base de café e açúcar. Sempre deixo a declaração do meu imposto de renda para o final do prazo. Todo ano defino metas que não consigo cumprir - e com isso fico ainda mais estressada. Tenho certeza de que não estou sozinha (pelo menos é o que espero).

Mas na realidade até eu tenho a disciplina para, em alguns minutos por dia, pôr meus fones de ouvido, escutar uma única peça musical e me transformar. Embora tenha tocado o violino desde a infância e trabalhado escrevendo e apresentando programas de música clássica, só entendi o efeito milagroso do contato diário com essa música depois de dois anos particularmente difíceis.

Dores pessoais, malabarismos entre as incompatíveis demandas de uma carreira freelancer implacável e uma criança enérgica; um permanente sentimento de estar à beira do esgotamento enquanto dizia ao mundo “está tudo bem!” - nem é preciso dizer que estava num estado pouco saudável. No entanto, nenhuma das soluções que experimentei teve efeito. Exceto a música.

Quando tornei meu hábito musical um ritual diário, comecei a me sentir menos ansiosa quase que imediatamente. Fiz uma curadoria mensal com uma peça clássica por dia. Entrar no metrô e apertar o play em vez de automaticamente ser sugada pelas redes sociais parecia me estabilizar espiritualmente. Eu comecei a esperar ansiosamente por isso. E me ocorreu que, se eu posso me beneficiar de uma forma tão significativa com esse pequeno mas poderoso hábito de “manutenção da alma”, então outros também poderiam.

Acredito que os maiores trabalhos musicais são motores de empatia; eles nos permitem viajar sem nos deslocar: para outras vidas, idades, almas. Eles também são robustos: encaixam-se na nossa vida multitarefa, nossa vida real. Então não questione se você tem as “credenciais” certas para se tornar um aficionado por música clássica ou se está ouvindo “de forma correta”. Confie em mim, o único critério é ter orelhas.

Você pode ouvir a playlist enquanto se desloca; levá-la para uma caminhada; colocá-la ao fundo quando prepara o café da manhã de seus filhos ou os leva à escola; faça dela sua trilha sonora para preparar o jantar, beber ou relaxar, para quando lavar ou passar a roupa, quando ler seus emails; tudo o que você precisa fazer é apertar o play. Acredito que há poucos momentos da vida que a música não consiga complementar. Isso é música para se viver - para viver sua melhor vida.

(Trecho adaptado. Disponível em: https://www.bbc. com/portuguese/vert-cul-44283069)



Clemency Burton-Hill, apresentadora da BBC Radio 3, é autora do livro ‘Year of Wonder - Classical Music for Everyday’ (Ano de Fascinação - Música Clássica para Todos os Dias, em tradução livre), em que apresenta compositores e suas obras, desde a era medieval até os dias atuais, com sugestões de músicas a serem escutadas a cada dia do ano.

“Entrar no metrô e apertar o play em vez de automaticamente ser sugada pelas redes sociais parecia me estabilizar espiritualmente.”

Assinale a alternativa CORRETA quanto à classificação dos elementos do período acima.

 

Provas

Questão presente nas seguintes provas
1030398 Ano: 2018
Disciplina: Português
Banca: FAUEL
Orgão: IPRERINE
Provas:

Escutar música clássica tem algum benefício real?

Clemency Burton-Hill *Para a BBC Culture

14 julho 2018

Somos uma espécie que produz música - sempre fomos, sempre seremos. Também somos uma espécie de intercâmbio musical: muito antes de adolescentes apaixonados trocarem suas playlists, ou o serviço de streaming nos permitir compartilhar nossas faixas favoritas, já nos comunicávamos e nos conectávamos através da música.

Evoluímos como humanos ao nos reunir ao redor da fogueira depois de um longo dia de caça e coleta para cantar canções e contar histórias com músicas. Era isso que nossos ancestrais faziam; é assim que eles davam sentido ao mundo; foi assim que eles aprenderam a ser.

Esse é um impulso ainda fundamental sobre quem somos. Hoje, no entanto, nossas vidas modernas estão desintegradas e exauridas em um grau sem precedentes. Quem tem o luxo de encontrar tempo todo dia para prestar total atenção a uma determinada música? E, por outro lado, talvez nunca tenhamos precisado tanto do espaço emocional que a música - especialmente a clássica - nos oferece.

Pesquisas científicas vêm mostrando que atos de autocuidado trazem benefícios indescritíveis à nossa saúde mental e nosso bem-estar, mas pessoalmente nunca consegui manter, por exemplo, uma meditação ou ioga regularmente.

Nunca vou à academia, não importa o quão nobres sejam minhas intenções. Eu funciono essencialmente à base de café e açúcar. Sempre deixo a declaração do meu imposto de renda para o final do prazo. Todo ano defino metas que não consigo cumprir - e com isso fico ainda mais estressada. Tenho certeza de que não estou sozinha (pelo menos é o que espero).

Mas na realidade até eu tenho a disciplina para, em alguns minutos por dia, pôr meus fones de ouvido, escutar uma única peça musical e me transformar. Embora tenha tocado o violino desde a infância e trabalhado escrevendo e apresentando programas de música clássica, só entendi o efeito milagroso do contato diário com essa música depois de dois anos particularmente difíceis.

Dores pessoais, malabarismos entre as incompatíveis demandas de uma carreira freelancer implacável e uma criança enérgica; um permanente sentimento de estar à beira do esgotamento enquanto dizia ao mundo “está tudo bem!” - nem é preciso dizer que estava num estado pouco saudável. No entanto, nenhuma das soluções que experimentei teve efeito. Exceto a música.

Quando tornei meu hábito musical um ritual diário, comecei a me sentir menos ansiosa quase que imediatamente. Fiz uma curadoria mensal com uma peça clássica por dia. Entrar no metrô e apertar o play em vez de automaticamente ser sugada pelas redes sociais parecia me estabilizar espiritualmente. Eu comecei a esperar ansiosamente por isso. E me ocorreu que, se eu posso me beneficiar de uma forma tão significativa com esse pequeno mas poderoso hábito de “manutenção da alma”, então outros também poderiam.

Acredito que os maiores trabalhos musicais são motores de empatia; eles nos permitem viajar sem nos deslocar: para outras vidas, idades, almas. Eles também são robustos: encaixam-se na nossa vida multitarefa, nossa vida real. Então não questione se você tem as “credenciais” certas para se tornar um aficionado por música clássica ou se está ouvindo “de forma correta”. Confie em mim, o único critério é ter orelhas.

Você pode ouvir a playlist enquanto se desloca; levá-la para uma caminhada; colocá-la ao fundo quando prepara o café da manhã de seus filhos ou os leva à escola; faça dela sua trilha sonora para preparar o jantar, beber ou relaxar, para quando lavar ou passar a roupa, quando ler seus emails; tudo o que você precisa fazer é apertar o play. Acredito que há poucos momentos da vida que a música não consiga complementar. Isso é música para se viver - para viver sua melhor vida.

(Trecho adaptado. Disponível em: https://www.bbc. com/portuguese/vert-cul-44283069)



Clemency Burton-Hill, apresentadora da BBC Radio 3, é autora do livro ‘Year of Wonder - Classical Music for Everyday’ (Ano de Fascinação - Música Clássica para Todos os Dias, em tradução livre), em que apresenta compositores e suas obras, desde a era medieval até os dias atuais, com sugestões de músicas a serem escutadas a cada dia do ano.

Você pode ouvir a playlist enquanto se desloca; levá-la para uma caminhada; colocá-la ao fundo quando prepara o café da manhã de seus filhos ou os leva à escola;

Em “levá-la para uma caminhada; colocá-la ao fundo quando prepara o café da manhã de seus filhos”, os pronomes oblíquos estabelecem coesão referencial com:

 

Provas

Questão presente nas seguintes provas
1030395 Ano: 2018
Disciplina: Português
Banca: FAUEL
Orgão: IPRERINE
Provas:

Escutar música clássica tem algum benefício real?

Clemency Burton-Hill *Para a BBC Culture

14 julho 2018

Somos uma espécie que produz música - sempre fomos, sempre seremos. Também somos uma espécie de intercâmbio musical: muito antes de adolescentes apaixonados trocarem suas playlists, ou o serviço de streaming nos permitir compartilhar nossas faixas favoritas, já nos comunicávamos e nos conectávamos através da música.

Evoluímos como humanos ao nos reunir ao redor da fogueira depois de um longo dia de caça e coleta para cantar canções e contar histórias com músicas. Era isso que nossos ancestrais faziam; é assim que eles davam sentido ao mundo; foi assim que eles aprenderam a ser.

Esse é um impulso ainda fundamental sobre quem somos. Hoje, no entanto, nossas vidas modernas estão desintegradas e exauridas em um grau sem precedentes. Quem tem o luxo de encontrar tempo todo dia para prestar total atenção a uma determinada música? E, por outro lado, talvez nunca tenhamos precisado tanto do espaço emocional que a música - especialmente a clássica - nos oferece.

Pesquisas científicas vêm mostrando que atos de autocuidado trazem benefícios indescritíveis à nossa saúde mental e nosso bem-estar, mas pessoalmente nunca consegui manter, por exemplo, uma meditação ou ioga regularmente.

Nunca vou à academia, não importa o quão nobres sejam minhas intenções. Eu funciono essencialmente à base de café e açúcar. Sempre deixo a declaração do meu imposto de renda para o final do prazo. Todo ano defino metas que não consigo cumprir - e com isso fico ainda mais estressada. Tenho certeza de que não estou sozinha (pelo menos é o que espero).

Mas na realidade até eu tenho a disciplina para, em alguns minutos por dia, pôr meus fones de ouvido, escutar uma única peça musical e me transformar. Embora tenha tocado o violino desde a infância e trabalhado escrevendo e apresentando programas de música clássica, só entendi o efeito milagroso do contato diário com essa música depois de dois anos particularmente difíceis.

Dores pessoais, malabarismos entre as incompatíveis demandas de uma carreira freelancer implacável e uma criança enérgica; um permanente sentimento de estar à beira do esgotamento enquanto dizia ao mundo “está tudo bem!” - nem é preciso dizer que estava num estado pouco saudável. No entanto, nenhuma das soluções que experimentei teve efeito. Exceto a música.

Quando tornei meu hábito musical um ritual diário, comecei a me sentir menos ansiosa quase que imediatamente. Fiz uma curadoria mensal com uma peça clássica por dia. Entrar no metrô e apertar o play em vez de automaticamente ser sugada pelas redes sociais parecia me estabilizar espiritualmente. Eu comecei a esperar ansiosamente por isso. E me ocorreu que, se eu posso me beneficiar de uma forma tão significativa com esse pequeno mas poderoso hábito de “manutenção da alma”, então outros também poderiam.

Acredito que os maiores trabalhos musicais são motores de empatia; eles nos permitem viajar sem nos deslocar: para outras vidas, idades, almas. Eles também são robustos: encaixam-se na nossa vida multitarefa, nossa vida real. Então não questione se você tem as “credenciais” certas para se tornar um aficionado por música clássica ou se está ouvindo “de forma correta”. Confie em mim, o único critério é ter orelhas.

Você pode ouvir a playlist enquanto se desloca; levá-la para uma caminhada; colocá-la ao fundo quando prepara o café da manhã de seus filhos ou os leva à escola; faça dela sua trilha sonora para preparar o jantar, beber ou relaxar, para quando lavar ou passar a roupa, quando ler seus emails; tudo o que você precisa fazer é apertar o play. Acredito que há poucos momentos da vida que a música não consiga complementar. Isso é música para se viver - para viver sua melhor vida.

(Trecho adaptado. Disponível em: https://www.bbc. com/portuguese/vert-cul-44283069)



Clemency Burton-Hill, apresentadora da BBC Radio 3, é autora do livro ‘Year of Wonder - Classical Music for Everyday’ (Ano de Fascinação - Música Clássica para Todos os Dias, em tradução livre), em que apresenta compositores e suas obras, desde a era medieval até os dias atuais, com sugestões de músicas a serem escutadas a cada dia do ano.

O exemplo pré-histórico citado no início do segundo parágrafo confirma que:
 

Provas

Questão presente nas seguintes provas