Foram encontradas 1.450 questões.
Sistemas split são condicionadores de ar formados por unidades
evaporadoras e condensadoras de ar montadas em gabinetes
separados. Acerca das características desse tipo de sistema,
julgue os itens que se seguem.
Em comparação com os aparelhos condicionadores de ar de janela (ACJ), os sistemas denominados mini-split, embora possuam custo mais baixo e sejam de fácil instalação, apresentam coeficiente de performance bem inferior ao daqueles.evaporadoras e condensadoras de ar montadas em gabinetes
separados. Acerca das características desse tipo de sistema,
julgue os itens que se seguem.
Provas
Questão presente nas seguintes provas
Dependendo da necessidade física ou da versatilidade desejada nas
instalações hidráulicas, pode-se optar por conjuntos de bombas em
série ou em paralelo. Considerando a associação de bombas
centrífugas, julgue os itens seguintes.
Quando uma bomba funciona de forma isolada, seu NPSHinstalações hidráulicas, pode-se optar por conjuntos de bombas em
série ou em paralelo. Considerando a associação de bombas
centrífugas, julgue os itens seguintes.
(NPSH requerido) é menor que na situação em que ela funciona associada em paralelo com outra bomba igual.Provas
Questão presente nas seguintes provas
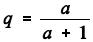
Várias propriedades mecânicas de um material metálico podem ser
determinadas a partir de um ensaio de tração. Acerca desse
assunto, julgue os itens que se seguem.
A estricção q e o alongamento a de um corpo de prova na ruptura, medidas que fornecem uma indicação da ductilidade do material, se relacionam pela expressãodeterminadas a partir de um ensaio de tração. Acerca desse
assunto, julgue os itens que se seguem.

Provas
Questão presente nas seguintes provas
- Mecânica dos SólidosModelagem Estática e Dinâmica
- Mecânica dos SólidosElasticidade Linear, Plasticidade, Fratura, Fadiga e Flambagem
Várias propriedades mecânicas de um material metálico podem ser
determinadas a partir de um ensaio de tração. Acerca desse
assunto, julgue os itens que se seguem.
O limite convencional de escoamento corresponde à tensão que produz uma deformação residual de 0,2% no corpo de prova.determinadas a partir de um ensaio de tração. Acerca desse
assunto, julgue os itens que se seguem.
Provas
Questão presente nas seguintes provas
Turbinas a vapor que usam tanto vapor saturado seco quanto vapor superaquecido operam segundo o ciclo de Rankine. A esse respeito, julgue os próximos itens.
O uso de vapor superaquecido provoca aumento da temperatura média na qual o calor é fornecido, o que resulta em aumento de rendimento do ciclo.Provas
Questão presente nas seguintes provas




Provas
Questão presente nas seguintes provas

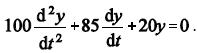
Considerando o sistema massa-mola livremente amortecido
mostrado na figura acima, e sabendo que a constante de
amortecimento c é igual a 85
a constante elástica k damola vale 20 kN/m e a massa m do objeto equivale a 100 kg, julgue
os itens subseqüentes.

Provas
Questão presente nas seguintes provas
A martensita é a microestrutura básica que resulta do tratamento
de têmpera nos aços que provoca um expressivo aumento de sua
dureza, o que nem sempre é desejável pois aumenta a fragilidade
do aço e, por conseqüência, facilita a formação de trincas. Acerca
das soluções para contornar esse problema, julgue os itens
seguintes.
A martêmpera, ou têmpera interrompida, é uma têmpera realizada em duas etapas: aquecimento para formar austenita e resfriamento até uma temperatura superior à da formação de martensita, seguido por um segundo resfriamento até a temperatura ambiente para a tranformação da martensita.de têmpera nos aços que provoca um expressivo aumento de sua
dureza, o que nem sempre é desejável pois aumenta a fragilidade
do aço e, por conseqüência, facilita a formação de trincas. Acerca
das soluções para contornar esse problema, julgue os itens
seguintes.
Provas
Questão presente nas seguintes provas

No mecanismo biela-manivela, esquematizado na figura acima,
o braço d mede 200 mm e gira à velocidade constante
= 5 rad/s
e o comprimento R equivale a 2d. Acerca desse sistema, é correto
afirmar que, para a condição θ = 0, a
Provas
Questão presente nas seguintes provas
A norma NBR n.º 9.441/1994, da ABNT, estabelece os
requisitos e procedimentos para se especificar, projetar,
implantar e manter os sistemas de proteção contra incêndio.
Nesses sistemas, os elementos de detecção têm a função de
monitorar as variáveis ambientais (qualidade do ar, temperatura
etc.) e indicar a possível presença de chamas. Acerca dos
detectores usados nesses sistemas, julgue os itens a seguir.
Detectores de chama devem ser usados preferencialmente a detectores de fumaça em áreas onde uma chama possa ocorrer rapidamente, tais como hangares, áreas de produção petroquímica, áreas de armazenagem e transferência, instalações de gás natural, cabines de pintura e áreas de armazenagem de solventes.requisitos e procedimentos para se especificar, projetar,
implantar e manter os sistemas de proteção contra incêndio.
Nesses sistemas, os elementos de detecção têm a função de
monitorar as variáveis ambientais (qualidade do ar, temperatura
etc.) e indicar a possível presença de chamas. Acerca dos
detectores usados nesses sistemas, julgue os itens a seguir.
Provas
Questão presente nas seguintes provas
Cadernos
Caderno Container