Foram encontradas 50 questões.
Lucas pretende iniciar exercícios de corrida ao ar livre no dia 01/01/2025. Sabendo que ele irá começar correndo 1200 metros e que irá percorrer, todos os dias, 150 metros a mais do que no dia anterior, então ele irá correr no dia 31/01/2025 um total de:
Provas
Questão presente nas seguintes provas
Assinale a alternativa que apresenta corretamente a fatoração do numeral 3900.
Provas
Questão presente nas seguintes provas
Considere X, Y e Z os respectivos fatores primos do número 46585. Assinale a alternativa que apresenta corretamente o valor de X + Y + Z:
Provas
Questão presente nas seguintes provas
Guilherme possuía X reais. Guilherme deu dois terços para seu irmão Gustavo. Gustavo deu metade do que recebeu de Guilherme para sua prima Sarah. Sarah, por fim, devolveu para Guilherme dois quintos do que ganhara de Gustavo. Assim, ao final Guilherme ficou com 1470,00 reais. Assinale a alternativa que apresenta corretamente a soma de todos os algarismos do número X.
Provas
Questão presente nas seguintes provas
- FundamentosPotenciação e RadiciaçãoRadiciação
- FundamentosPotenciação e RadiciaçãoPotenciação
- FundamentosSolução de Problemas
- ÁlgebraProdutos Notáveis e Fatoração
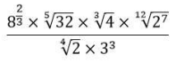
Assinale a alternativa que apresenta corretamente o resultado da operação abaixo:


Provas
Questão presente nas seguintes provas
Um triangulo retângulo possui três ângulos internos, a, β
e γ. Sabendo que β=45°, assim assinale a alternativa que apresenta o resultado da operação:

Provas
Questão presente nas seguintes provas
Sabendo que uma determinada figura geométrica possui 1200 m² de área, então é correto afirmar que essa figura possui:
Provas
Questão presente nas seguintes provas
Analise as afirmativas abaixo sobre as operações básicas relacionadas à construção do conceito de número:
I.A conservação de grandezas implica que uma criança entende que, ao alterar a forma de um objeto (por exemplo, esticando uma massinha), sua quantidade de massa permanece a mesma.
II.A construção de sequências numéricas envolve o reconhecimento de padrões lógicos, como progressões geométricas ou aritméticas.
III.A inclusão de classes é o processo de entender que uma classe menor está contida em uma classe maior, como reconhecer que "gatos" são um subconjunto de "animais".
Está correto o que se afirma em:
I.A conservação de grandezas implica que uma criança entende que, ao alterar a forma de um objeto (por exemplo, esticando uma massinha), sua quantidade de massa permanece a mesma.
II.A construção de sequências numéricas envolve o reconhecimento de padrões lógicos, como progressões geométricas ou aritméticas.
III.A inclusão de classes é o processo de entender que uma classe menor está contida em uma classe maior, como reconhecer que "gatos" são um subconjunto de "animais".
Está correto o que se afirma em:
Provas
Questão presente nas seguintes provas
Márcia possui um terreno poligonal com cinco vértices, as coordenadas dos pontos, em metros, foram as seguintes: A(0 ; 0), B(15 ; 20), C(20 ; 30), D(40 ; 10) e E(30 ; -10). Assinale a alternativa que contém corretamente a área do terreno de Márcia.
Provas
Questão presente nas seguintes provas
Sendo X um número racional e Y um número irracional, pode-se concluir que o resultado de X + Y pertence aos:
Provas
Questão presente nas seguintes provas
Cadernos
Caderno Container