Foram encontradas 70 questões.
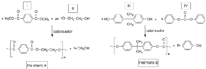
Abaixo estão demonstradas as reações orgânicas de condensação de produção de dois polímeros A e B.

Nessas demostrações, tem-se que:
| Polímero A |
Polímero B | Funções Orgânicas |
Provas
Com o objetivo de avaliar a contribuição das principais variáveis operacionais sobre as propriedades do poliestireno de alto impacto, foram realizadas reações de polimerização de solução de polibutadieno em estireno. Seguindo-se um planejamento fatorial fracionário, tendo como base um planejamento fatorial completo, foram avaliadas como variáveis de resposta a massa molar ponderal média, a polidispersão e o alongamento na ruptura. As variáveis independentes consideradas foram o teor de iniciador, o teor de borracha e a rotação do agitador na fase de pré-polimerização. As Figuras abaixo mostram os diagramas de Pareto para a massa molar ponderal média, polidispersão e alongamento na ruptura, obtidos através do planejamento fatorial fracionado com dois níveis, três fatores e três réplicas no ponto central e intervalo de confiança de 95% (α=0.05).

A respeito da contribuição das principais variáveis pela observação descritiva dos gráficos acima, verifica-se que o(a)
Provas
Atualmente, os polímeros são aplicados em diversas áreas. Isto se deve, principalmente, às suas propriedades que os diferem, substancialmente, de outros materiais, como os metais. O conhecimento das propriedades dos polímeros possibilita diferenciar se um dado polímero é ou não recomendável para um determinado tipo de aplicação, como, por exemplo, no(a)
Provas
A ciência que analisa as deformações ou as tensões de um material provocadas pela aplicação de uma tensão ou deformação nesse material é denominada Reologia. Em Reologia, a classificação entre um material sólido, líquido ou gasoso é determinada pelo número de Deborah (De). Esse número estabelece a relação entre tempo de relaxamento do material, \( \lambda \)r, e o tempo de duração da aplicação de uma deformação ou tensão, t. Em relação aos materiais poliméricos, esse número de De
Provas
Biopolímeros ou bioplásticos são polímeros cuja matéria- -prima principal para sua manufatura é obtida a partir de uma fonte de carbono renovável. Podem ser considerados biopolímeros:
Provas
Todo polímero deve passar por um ou mais processos de transformação para alcançar o formato final ideal para ser usado.
NÃO caracteriza corretamente um desses tipos de processamento aplicáveis a polímeros:
| Processo |
Característica |
Provas
Bate-papo é telepatia
Antes do advento da internet, “bate-papo” signifi-
cava conversa informal entre duas ou mais pessoas,
em visitas e encontros de corpo e voz presentes.
Um casal de mãos dadas na rua. Uma discussão
animada de bar. Ou, no máximo, à distância, por te-
lefone, no fim do dia, para contar as últimas, falar mal
dos outros ou se indignar com os preços do chuchu e
o resultado do futebol.
Por cartas não se batia papo: no máximo, troca-
vam-se correspondências, impressões, declarações,
notícias da vida. As respostas demoravam dias, se-
manas, meses. Poesia agônica. Extravios. Grandes
verdades e mentiras.
A internet e o e-mail mudaram o ritmo: a troca de
mensagens mais rápida logo permitiu que as “cartas”
pudessem ser curtas, tão curtas quanto frases, tão di-
retas quanto falas, tão sucintas quanto uma palavra,
uma sílaba, um sinal de interjeição.
Ou, mesmo, o vazio, reticente. [...]
Foi no ambiente de e-mails que surgiram os pri-
meiros bate-papos eletrônicos exclusivamente textu-
ais, em grande escala, trazendo toda uma nova gama
de esferas informacionais.
As novas senhoras da mensagem eram palavras
divorciadas de entonação e de expressão, com alto
grau de ambiguidade, mas com intensidade e fre-
quência ilimitadas: a qualquer hora do dia inicia-se,
interrompe-se, termina-se ou continua-se uma con-
versa.[...]
Mas é nas ferramentas de conversa instantânea
das redes sociais (e também nos torpedos de celu-
lar) que, creio, está acontecendo o fenômeno mais
interessante e surpreendente das comunicações in-
terpessoais dos dias de hoje. Certas trocas de infor-
mação, principalmente entre duas pessoas, estão se
transformando, na prática, em formas concretas de
telepatia.
Não que ocorra a transmissão direta de pensa-
mento, energética, via moléculas de ar, entre dois
cérebros emissores de ondas. É mais uma telepatia
lato sensu e aleatória, no sentido de que a probabi-
lidade de o conteúdo transmitido ser semelhante ao
fluxo de pensamento naquela troca sequencial de
informações é altíssima.
Pois, nessas horas, a velocidade frenética com
que se escreve o que vai à mente não deixa muito
espaço para elaboração, censura, reflexão, autoexa-
mes ou juízos de causa-efeito.
O superego fica assim sufocado e o inconsciente
começa a surgir em torrente, a despeito da vontade
do emissor. Este se vê engendrado numa espécie de
fusão com o outro, que se verte num espelho invisí-
vel, e vice-versa, quando o caminho for de mão dupla
confessional.
Assim, vidas inteiras, segredos íntimos, pensa-
mentos transcendentes, temores de momento, impul-
sos inesperados, insights são comerciados em pou-
cos minutos, entre pessoas que mal se conhecem. O
ritmo é muito semelhante ao da associação livre de
ideias, só que o intuito expresso não é o de uma ses-
são de análise nem de um processo formal de escrita
instantânea.
Não é estética, não é arte, que se busca, embora
ela possa estar presente na malha egoica obsessiva
e narcisista que ali se estabelece. É apenas uma von-
tade de conversar convertida em espanto, tempesta-
de, revelação.
A sensação após essas catarses repentinas (às
vezes em série) é de um alívio alienado de si: é pos-
sível até que o emissor sequer se lembre da maioria
das coisas que disse ou para quantas pessoas, e que
o mesmo ocorra com o receptor.
Se o mesmo estiver numa vibração igual, pro-
duzem-se verdadeiros milagres de aconselhamento
e fenômenos epifânicos. [...]
BLOCH, Arnaldo. Bate-papo é telepatia. O Globo, Rio de Janeiro, 2º Caderno. 09 jun. 2012, p.10. Adaptado.
Provas
Os processos químicos que formam os polímeros são denominados reações de polimerização. Observe as afirmações a seguir, relativas a essas reações.
I – A reação de polimerização por adição radicalar pode produzir materiais ramificados e sem controle da configuração da unidade repetitiva, por exemplo mistura de isômeros cis e trans ou polimerização cabeça-cabeça, sendo esse método de polimerização usado para obter elastômeros, como o polibutadieno, poli(estireno-co-butadieno) ou para obter o poliestireno.
II – As reações de polimerização por adição aniônica ou catiônica são utilizadas para monômeros substituídos com grupos polares, como o cloreto de vinila ou os ésteres do ácido acrílico, ou para a produção de copolímeros.
III – A reação de polimerização por adição usando catalisador é a mais sofi sticada, tanto do ponto de vista químico como tecnológico, e permite um maior controle da estereoquímica da cadeia polimérica e da distribuição de massa molar do produto.
Está correto o que se afirma em
Provas
Durante a obtenção de dois tipos de polietilenos de baixa densidade (PEBD e PELBD), resultaram os seguintes valores para suas massas molares numérica média (Mn) e ponderal média (Mw), mostrados no quadro abaixo.
|
Polímero |
Mn média (g/mol) |
Mw média (g/mol) |
|
PEBD |
8522 |
85528 |
|
PEBDL |
7070 |
91910 |
Com base nesses valores e considerando a massa molar média do monômero como sendo a do eteno, os valores de polidispersão (Z), o grau de polimerização (nn (número moléculas) e nw (peso molécula)) são, aproximadamente, para os polímeros PEBD e PEBDL, respectivamente,
Dados:
massas atômicas: C=12, H= 1, O=16
Provas
Em seu sentido mais amplo, a medição de vazão pode ser entendida como a determinação da quantidade de um fluido que escoa em um dado local, por unidade de tempo. Assim, os medidores de vazão
Provas
Caderno Container