Foram encontradas 1.248 questões.

No processo de aquisição de sinais, principalmente devido à alta sensibilidade do sistema de aquisição, faz-se o uso de um circuito do tipo ponte de Wheatstone para se medir pequenas mudanças em uma resistência elétrica. Esse circuito é composto por quatro elementos resistivos que podem ser excitados por uma fonte de voltagem — veja ilustração acima. Nesse circuito, considerando que
é diferente de zero, é correto afirmar que o circuito da ponte de Wheatstone representado na ilustração acima está balanceado quandoProvas
Questão presente nas seguintes provas
Considere que um sensor óptico de deslocamento angular seja utilizado para monitorar a velocidade angular de um objeto. O sensor mede a posição angular do referido objeto a cada 0,25 s (período de amostragem) e um codificador representa cada valor medido em uma palavra binária de 8 bits: a resolução é de um grau por bit menos significativo (LSB). Essa informação é enviada ao sistema de monitoramento que calcula, então, a velocidade angular do objeto. Considere, ainda, que no instante de amostragem corrente tenha sido medido o valor
e no instante de amostragem anterior,
Portanto, é correto afirmar que, no último intervalo de amostragem, a velocidade angular média do objeto foi de
e no instante de amostragem anterior,
Portanto, é correto afirmar que, no último intervalo de amostragem, a velocidade angular média do objeto foi deProvas
Questão presente nas seguintes provas

C. Killian, Modern control technology: components and
systems. 2.º ed. Thompson, 2002 (com adaptações).
A figura acima mostra o diagrama lógico em linguagem ladder de um sistema simples de automação residencial para o monitoramento de três janelas e duas portas. Cada uma dessas janelas e portas têm um sensor de contato acoplado que é ativado quando a janela ou porta é aberta. No diagrama, {
} e {
} são os contatos das janelas e das portas, respectivamente, sendo considerados contatos do tipo normalmente aberto. Com base nessas informações, é correto afirmar queProvas
Questão presente nas seguintes provas
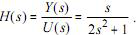
Em muitas representações de sistemas contínuos no tempo, com uma única entrada e uma única saída, utiliza-se representações a partir da variável complexa s no domínio da transformada de Laplace. A partir dessa representação, é de fundamental importância definir a função de transferência para o sistema em análise. Uma das principais informações que podem ser extraídas da análise da função de transferência é a resposta em regime permanente do sistema, pois assim é possível verificar o comportamento do sistema depois de passado o período transitório. Nesse contexto, considere o sistema cuja função de transferência — H(s) — é dada por 
A resposta em regime permanente desse sistema, quando a entrada for um degrau unitário, será igual a

A resposta em regime permanente desse sistema, quando a entrada for um degrau unitário, será igual a
Provas
Questão presente nas seguintes provas
Para permitir a medição de sinais que contêm diversos níveis de voltagem, faz-se necessária a utilização de hardware e técnicas de medição especiais. Essa tarefa envolve, tipicamente, o isolamento do sistema a ser medido em relação ao aterramento, de maneira que cabos que transportam os sinais, como os amplificadores comumente utilizados, permitam a implementação de métodos com referência flutuante. Dessa forma, tratando-se de sistemas de isolamento, é correto afirmar que
Provas
Questão presente nas seguintes provas

O estudo de sistemas de controle em malha-fechada envolve, geralmente, o uso de álgebra de diagrama de blocos, que permite avaliar um sistema de forma simples, contemplando os aspectos globais da resposta do sistema. A figura acima mostra o diagrama de blocos da planta de um sistema de controle em malha-fechada, representado no domínio da variável complexa da transformada de Laplace. Aplicando-se as operações de simplificação de diagrama de blocos, obteve-se que a função de transferência desse sistema é dada por
. Com base nessas informações, é correto concluir que a função de transferência
é dada porProvas
Questão presente nas seguintes provas
Sistemas de aquisição de dados por computador são utilizados em uma grande variedade de aplicações. Tipicamente, esses sistemas são usados para medição de tensões de entrada e de saída por meio de procedimentos de condicionamento de sinais, que têm como etapa importante a amplificação do sinal a ser medido. A principal função dessa etapa de amplificação é
Provas
Questão presente nas seguintes provas
- Conversores Analógicos Digitais (AD) e Digitais Analógicos (DAC)
- Eletrônica Digital na Engenharia Eletrônica
- Lógica Binária e Hexadecimal
Considere um conversor digital-analógico (DAC) de 8 bits que tenha tensão de referência de 10 V. Nesse conversor , para que a tensão de saída desse conversor seja de 7,5 V, a entrada de dados deverá receber a palavra binária
Provas
Questão presente nas seguintes provas

A figura acima mostra o diagrama ladder para um controlador lógico programável (CLP) genérico, em que {
} são as variáveis de entrada e
é a variável de saída — essas variáveis podem assumir os valores lógicos verdadeiro e falso. A saída na bobina,
, estará ativa — isto é, assumirá o valor lógico verdadeiro — seProvas
Questão presente nas seguintes provas

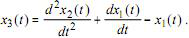
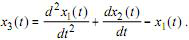
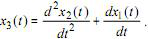
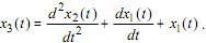
O diagrama de blocos acima representa, no domínio da variável complexa s da transformada de Laplace, um sistema de controle com duas entradas,
e
, e uma saída,
. Considerando que as condições iniciais para as variáveis
,
e
são nulas para t = 0 , a equação no domínio do tempo que descreve esse sistema, para t > 0, éProvas
Questão presente nas seguintes provas
Cadernos
Caderno Container