Foram encontradas 1.248 questões.
As empresas A e B fornecem molas para uma fábrica de eletrodomésticos. No estudo para certificação, foram amostradas dez molas de cada fornecedor. Um ensaio de flexibilidade foi realizado, gerando medidas em uma unidade de força. A tabela abaixo apresenta um resumo de alguns resultados estatísticos para as medidas de flexibilidade. Nessa tabela, o símbolo ? representa uma estatística faltante, DP = desvio padrão amostral, CV = coeficiente de variação e SQ = soma de quadrados.

Com referência aos dados apresentados no texto e às medidas de tendência central, assinale a opção correta
Provas
Questão presente nas seguintes provas
Considere que, em um procedimento de medição, um analista tomou 6 medidas, das quais o mínimo
o máximo é
e o outro valor mais próximo a um desses extremos é
O analista suspeitou do maior valor obtido e decidiu () x 5 10 2 = , fazer o teste de Dixon para saber se iria eliminar ou não aquela medida. Nessa situação, com base no valor tabelado
para um nível de 95% de confiança sob uma amostra de tamanho 6, assinale a opção correta.
o máximo é
e o outro valor mais próximo a um desses extremos é
O analista suspeitou do maior valor obtido e decidiu () x 5 10 2 = , fazer o teste de Dixon para saber se iria eliminar ou não aquela medida. Nessa situação, com base no valor tabelado
para um nível de 95% de confiança sob uma amostra de tamanho 6, assinale a opção correta.Provas
Questão presente nas seguintes provas
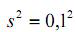
Nove contêineres de um grande carregamento foram inspecionados quanto à quantidade, em litros, de ácido sulfúrico, e apresentaram média
igual a 10 L e desvio padrão s igual a 0,1 L. Em um relatório passado, um histograma foi apresentado sugerindo que a quantidade de ácido sulfúrico seguia distribuição normal. O intervalo de 95% de confiança para a quantidade média de ácido sulfúrico é [9,9233; 10,0767], com valores dados em litros.
A distribuição probabilística de referência, utilizada no cálculo do intervalo de confiança, é
igual a 10 L e desvio padrão s igual a 0,1 L. Em um relatório passado, um histograma foi apresentado sugerindo que a quantidade de ácido sulfúrico seguia distribuição normal. O intervalo de 95% de confiança para a quantidade média de ácido sulfúrico é [9,9233; 10,0767], com valores dados em litros.A distribuição probabilística de referência, utilizada no cálculo do intervalo de confiança, é
Provas
Questão presente nas seguintes provas
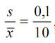
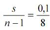
Nove contêineres de um grande carregamento foram inspecionados quanto à quantidade, em litros, de ácido sulfúrico, e apresentaram média
igual a 10 L e desvio padrão s igual a 0,1 L. Em um relatório passado, um histograma foi apresentado sugerindo que a quantidade de ácido sulfúrico seguia distribuição normal. O intervalo de 95% de confiança para a quantidade média de ácido sulfúrico é [9,9233; 10,0767], com valores dados em litros.
Com relação ao texto em referência, é correto afirmar que o erro padrão utilizado para o cálculo do desvio padrão é dado por
igual a 10 L e desvio padrão s igual a 0,1 L. Em um relatório passado, um histograma foi apresentado sugerindo que a quantidade de ácido sulfúrico seguia distribuição normal. O intervalo de 95% de confiança para a quantidade média de ácido sulfúrico é [9,9233; 10,0767], com valores dados em litros.Com relação ao texto em referência, é correto afirmar que o erro padrão utilizado para o cálculo do desvio padrão é dado por
Provas
Questão presente nas seguintes provas
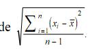
Considere que, no estudo de um processo de fabricação de rebites para uso industrial, tenham sido analisadas 36 peças, tomadas da linha de produção, ao longo de um dia, estando as medidas relacionadas ao diâmetro da cabeça dos rebites sumarizadas nas estatísticas e no gráfico seguintes.


Considere, ainda, que
, e representam, respectivamente, a x xi n média amostral, o valor da i-ésima medida e o tamanho da amostra, e que as unidades dos valores apresentados estão de acordo com as unidades utilizadas na obtenção dos valores da tabela e do gráfico.
Acerca do gráfico apresentado no texto, assinale a opção correta.


Considere, ainda, que
, e representam, respectivamente, a x xi n média amostral, o valor da i-ésima medida e o tamanho da amostra, e que as unidades dos valores apresentados estão de acordo com as unidades utilizadas na obtenção dos valores da tabela e do gráfico.Acerca do gráfico apresentado no texto, assinale a opção correta.
Provas
Questão presente nas seguintes provas
Considere que, no estudo de um processo de fabricação de rebites para uso industrial, tenham sido analisadas 36 peças, tomadas da linha de produção, ao longo de um dia, estando as medidas relacionadas ao diâmetro da cabeça dos rebites sumarizadas nas estatísticas e no gráfico seguintes.


Considere, ainda, que x, xi e n e representam, respectivamente, a média amostral, o valor da i-ésima medida e o tamanho da amostra, e que as unidades dos valores apresentados estão de acordo com as unidades utilizadas na obtenção dos valores da tabela e do gráfico.
Com relação à média e à mediana, citadas na tabela do texto, assinale a opção correta.


Considere, ainda, que x, xi e n e representam, respectivamente, a média amostral, o valor da i-ésima medida e o tamanho da amostra, e que as unidades dos valores apresentados estão de acordo com as unidades utilizadas na obtenção dos valores da tabela e do gráfico.
Com relação à média e à mediana, citadas na tabela do texto, assinale a opção correta.
Provas
Questão presente nas seguintes provas
Considere que, no estudo de um processo de fabricação de rebites para uso industrial, tenham sido analisadas 36 peças, tomadas da linha de produção, ao longo de um dia, estando as medidas relacionadas ao diâmetro da cabeça dos rebites sumarizadas nas estatísticas e no gráfico seguintes.


Considere, ainda, que
, e representam, respectivamente, a x xi n média amostral, o valor da i-ésima medida e o tamanho da amostra, e que as unidades dos valores apresentados estão de acordo com as unidades utilizadas na obtenção dos valores da tabela e do gráfico.
Com base nas informações do texto, assinale a opção correta acerca da variância, parâmetro que pode ser utilizado como medida de variabilidade dos dados.


Considere, ainda, que
, e representam, respectivamente, a x xi n média amostral, o valor da i-ésima medida e o tamanho da amostra, e que as unidades dos valores apresentados estão de acordo com as unidades utilizadas na obtenção dos valores da tabela e do gráfico.Com base nas informações do texto, assinale a opção correta acerca da variância, parâmetro que pode ser utilizado como medida de variabilidade dos dados.
Provas
Questão presente nas seguintes provas
Quem for apanhado pelos já famosos bafômetros com mais de 0,6 grama de álcool por litro de sangue poderá ser preso. A nova Lei n° 11.705/2008 altera o Código de Trânsito Brasileiro e proíbe o consumo de praticamente qualquer quantidade de bebida alcoólica por condutores de veículos. Os motoristas flagrados ao volante com mais de 0,2 grama de álcool por litro de sangue estão sujeitos a pagar multa, perder a carteira de motorista por um ano e ainda ter o carro apreendido.
Até pouco tempo, acreditava-se que havia um nível de álcool no organismo considerado seguro e que, até esse limite, não haveria alterações severas de consciência que impedissem uma pessoa de dirigir. Porém, estudos comprovaram que as pessoas são diferentes entre si e que o tal nível seguro não existe em matéria de álcool. Recentemente, a Revista Latino-Americana de Enfermagem publicou um estudo que, a partir de registros do Instituto Médico Legal (IML) do Rio de Janeiro, estabelece uma correlação entre os níveis de alcoolemia detectados nas vítimas fatais de acidentes de trânsito, o perfil das vítimas e as características dos acidentes. As tabelas 1 e 2 abaixo apresentam os dados levantados pelo estudo e o gráfico abaixo mostra o processo de absorção e eliminação do álcool quando um indivíduo bebe de uma a quatro latas de cerveja em curto espaço de tempo.
A partir da análise das tabelas e do gráfico, assinale a opção correta.Até pouco tempo, acreditava-se que havia um nível de álcool no organismo considerado seguro e que, até esse limite, não haveria alterações severas de consciência que impedissem uma pessoa de dirigir. Porém, estudos comprovaram que as pessoas são diferentes entre si e que o tal nível seguro não existe em matéria de álcool. Recentemente, a Revista Latino-Americana de Enfermagem publicou um estudo que, a partir de registros do Instituto Médico Legal (IML) do Rio de Janeiro, estabelece uma correlação entre os níveis de alcoolemia detectados nas vítimas fatais de acidentes de trânsito, o perfil das vítimas e as características dos acidentes. As tabelas 1 e 2 abaixo apresentam os dados levantados pelo estudo e o gráfico abaixo mostra o processo de absorção e eliminação do álcool quando um indivíduo bebe de uma a quatro latas de cerveja em curto espaço de tempo.

Provas
Questão presente nas seguintes provas
Acerca do critério de Chauvenet, assinale a opção correta.
Provas
Questão presente nas seguintes provas
Uma experiência apontou que a eficiência, medida em porcentagem, de um digitador, em um tempo de 6 horas de trabalho diário, é adequadamente modelada por uma função do tempo t, cuja taxa de variação é dF(t)/dt = 54 -18t,para 0 ≤ t ≤ 6 horas se um digitador apresentou 72% de eficiência após 2 horas de trabalho, ele deverá apresentar, após 5 horas de trabalho, uma eficiência igual a
Provas
Questão presente nas seguintes provas
Cadernos
Caderno Container