Magna Concursos

Foram encontradas 2.215 questões.

1531501 Ano: 2007
Disciplina: Estatística
Banca: CESPE / CEBRASPE
Orgão: INMETRO

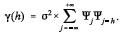
Considere uma série temporal estacionária com média zero e função de autocovariância ((h). Esta série temporal é gerada por um filtro linear na forma Enunciado 1531501-1 , em que X t representa a observação da série temporal no instante Enunciado 1531501-2 Qj é o j-ésimo coeficiente do filtro linear Enunciado 1531501-3 é um choque aleatório (ruído branco) com média zero e variância F2 . Com base nessas informações, julgue os itens que se seguem.

A densidade espectral dos choques aleatórios é igual a Enunciado 1531501-4 .
 

Provas

Questão presente nas seguintes provas
1531500 Ano: 2007
Disciplina: Estatística
Banca: CESPE / CEBRASPE
Orgão: INMETRO

Considere uma série temporal estacionária com média zero e função de autocovariância ((h). Esta série temporal é gerada por um filtro linear na forma Enunciado 1531500-1 , em que X t representa a observação da série temporal no instante Enunciado 1531500-2 Qj é o j-ésimo coeficiente do filtro linear Enunciado 1531500-3 é um choque aleatório (ruído branco) com média zero e variância F2 . Com base nessas informações, julgue os itens que se seguem.

A função de transferência do filtro linear é Enunciado 1531500-4 , em que , Enunciado 1531500-5representa a função exponencial.
 

Provas

Questão presente nas seguintes provas
1531499 Ano: 2007
Disciplina: Estatística
Banca: CESPE / CEBRASPE
Orgão: INMETRO

Considere uma série temporal estacionária com média zero e função de autocovariância ((h). Esta série temporal é gerada por um filtro linear na forma Enunciado 1531499-1 , em que X t representa a observação da série temporal no instante Enunciado 1531499-2 Qj é o j-ésimo coeficiente do filtro linear Enunciado 1531499-3 é um choque aleatório (ruído branco) com média zero e variância F2 . Com base nessas informações, julgue os itens que se seguem.

A função geratriz de autocovariância da seqüência cronológica dos choques aleatórios é igual a Enunciado 1531499-4.

 

Provas

Questão presente nas seguintes provas
1531498 Ano: 2007
Disciplina: Estatística
Banca: CESPE / CEBRASPE
Orgão: INMETRO

Considere uma série temporal estacionária com média zero e função de autocovariância ((h). Esta série temporal é gerada por um filtro linear na forma Enunciado 1531498-1 , em que X t representa a observação da série temporal no instante Enunciado 1531498-2 Qj é o j-ésimo coeficiente do filtro linear Enunciado 1531498-3 é um choque aleatório (ruído branco) com média zero e variância F2 . Com base nessas informações, julgue os itens que se seguem.

Enunciado 1531498-4

 

Provas

Questão presente nas seguintes provas
1531497 Ano: 2007
Disciplina: Estatística
Banca: CESPE / CEBRASPE
Orgão: INMETRO

Considere uma série temporal estacionária com média zero e função de autocovariância ((h). Esta série temporal é gerada por um filtro linear na forma Enunciado 1531497-1 , em que X t representa a observação da série temporal no instante Enunciado 1531497-2 Qj é o j-ésimo coeficiente do filtro linear Enunciado 1531497-3 é um choque aleatório (ruído branco) com média zero e variância F2 . Com base nessas informações, julgue os itens que se seguem.

O processo Enunciado 1531497-4 não é estacionário.

 

Provas

Questão presente nas seguintes provas
1531496 Ano: 2007
Disciplina: Estatística
Banca: CESPE / CEBRASPE
Orgão: INMETRO

Considere uma série temporal estacionária com média zero e função de autocovariância ((h). Esta série temporal é gerada por um filtro linear na forma Enunciado 1531496-1 , em que X t representa a observação da série temporal no instante Enunciado 1531496-2 Qj é o j-ésimo coeficiente do filtro linear Enunciado 1531496-3 é um choque aleatório (ruído branco) com média zero e variância F2 . Com base nessas informações, julgue os itens que se seguem.

A variância do processo {Xt} é igual a Enunciado 1531496-4 .

 

Provas

Questão presente nas seguintes provas
1531495 Ano: 2007
Disciplina: Estatística
Banca: CESPE / CEBRASPE
Orgão: INMETRO

Considere uma série temporal estacionária com média zero e função de autocovariância ((h). Esta série temporal é gerada por um filtro linear na forma Enunciado 1531495-1 , em que X t representa a observação da série temporal no instante Enunciado 1531495-2 Qj é o j-ésimo coeficiente do filtro linear Enunciado 1531495-3 é um choque aleatório (ruído branco) com média zero e variância F2 . Com base nessas informações, julgue os itens que se seguem.

A série temporal {X t } é um processo de médias móveis.

 

Provas

Questão presente nas seguintes provas
1531494 Ano: 2007
Disciplina: Estatística
Banca: CESPE / CEBRASPE
Orgão: INMETRO

Um indicador W que mede a qualidade de determinado produto é uma variável aleatória contínua simetricamente distribuída em torno de 7. Tal indicador assume apenas valores positivos e em 75% dos casos seu valor é superior a 3. Com base nessas informações, julgue os itens subseqüentes.

A probabilidade de W ser maior que 14 é igual a zero.

 

Provas

Questão presente nas seguintes provas
1531493 Ano: 2007
Disciplina: Estatística
Banca: CESPE / CEBRASPE
Orgão: INMETRO

Um indicador W que mede a qualidade de determinado produto é uma variável aleatória contínua simetricamente distribuída em torno de 7. Tal indicador assume apenas valores positivos e em 75% dos casos seu valor é superior a 3. Com base nessas informações, julgue os itens subseqüentes.

A moda de W é igual à média da distribuição.

 

Provas

Questão presente nas seguintes provas
1531492 Ano: 2007
Disciplina: Estatística
Banca: CESPE / CEBRASPE
Orgão: INMETRO

Um indicador W que mede a qualidade de determinado produto é uma variável aleatória contínua simetricamente distribuída em torno de 7. Tal indicador assume apenas valores positivos e em 75% dos casos seu valor é superior a 3. Com base nessas informações, julgue os itens subseqüentes.

O terceiro quartil é igual a 3.

 

Provas

Questão presente nas seguintes provas