Foram encontradas 608 questões.
Considere o programa abaixo escrito na Linguagem C:

Após a execução do programa será exibido ao usuário, no console, o valor:
Provas
Considere o programa abaixo escrito na Linguagem Java:

Após a execução do programa será exibido ao usuário, no console, o valor:
Provas
Provas

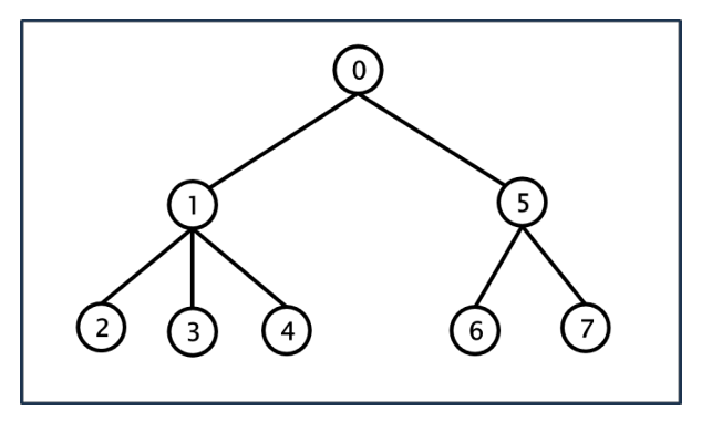
Ao se aplicar na árvore acima o algoritmo de travessia Pré-Ordem, a partir da raiz, a ordem de visita dos nós será o descrito na alternativa:
Provas
- Fundamentos de ProgramaçãoAlgoritmosAlgoritmos de OrdenaçãoMerge Sort
- Fundamentos de ProgramaçãoAlgoritmosDividir e Conquistar
Provas
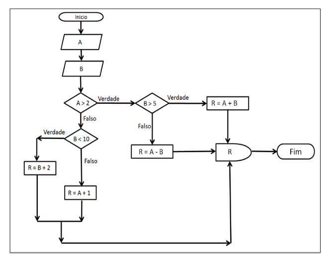
Analise o seguinte fluxograma:

Após a execução do algoritmo será exibido ao usuário o valor:
Provas
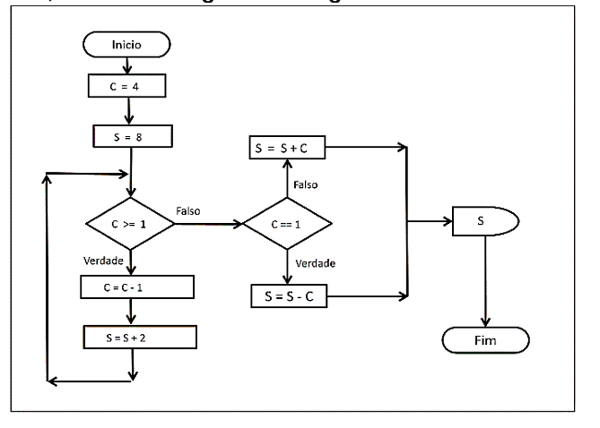
Analise o seguinte fluxograma:

Supondo-se que o usuário entrou com os dados 10 e 6 (primeiro 10 e depois 6), após a execução do algoritmo será exibido ao usuário o valor:
Provas
Disciplina: Administração Financeira e Orçamentária
Banca: IBFC
Orgão: IMBEL
Provas
- Organização dos PoderesPoder LegislativoFiscalização Contábil, Financeira e Orçamentária da UniãoTribunal de Contas da União (TCU)
Provas
A lei de diretrizes orçamentárias conterá , onde serão avaliados os passivos contingentes e outros riscos capazes de afetar as contas públicas, informando as providências a serem tomadas, caso se concretizem.
Assinale a alternativa que preencha corretamente a lacuna.
Provas
Caderno Container