Foram encontradas 605 questões.
Em um microcontrolador, o ciclo de varredura é responsável por
Provas
Questão presente nas seguintes provas
Os protocolos baseados em Ethernet de alta disponibilidade servem
para garantir a entrega dos pacotes, mesmo em caso de falha de um
elemento da infraestrutura. Os protocolos são baseados em uma
janela deslizante que fornece o controle de fluxos de quadros a
serem enviados com base na capacidade de absorção do receptor.
Considerando essas informações, assinale a opção que apresenta o
protocolo que evita a perda de quadros.
Provas
Questão presente nas seguintes provas
- Conversores Analógicos Digitais (AD) e Digitais Analógicos (DAC)
- Eletrônica Digital na Engenharia Eletrônica
Se, em um conversor digital/analógico de 4 bites, a entrada 11102
gera uma saída de 10,5 mA, então, para esse conversor, uma
entrada 10012 gera uma saída de
Provas
Questão presente nas seguintes provas
Assinale a opção que apresenta uma expressão de álgebra booleana
correta, conforme os teoremas de DeMorgan.
Provas
Questão presente nas seguintes provas

Considere que, no circuito precedente, todos os elementos sejam ideais e que, depois de permanecer na posição 1 por tempo bem maior que 5RC, a chave mude para a posição 2, em um instante t0. Nessa situação, após o instante t0, a corrente que atravessa o diodo será igual a
Provas
Questão presente nas seguintes provas

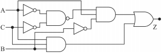
Assinale a opção que apresenta a expressão correspondente à saída do circuito representado na figura.
Provas
Questão presente nas seguintes provas

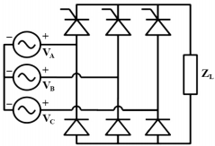
A figura precedente ilustra o circuito esquemático de um retificador trifásico
Provas
Questão presente nas seguintes provas
Assinale a opção que indica o dispositivo usado para identificar
a operação que será realizada e correlacionada à instrução cujo
código de operação tiver sido passado como entrada do circuito.
Provas
Questão presente nas seguintes provas
Um retificador trifásico controlado em ponte de Graetz
Provas
Questão presente nas seguintes provas

Considerando que, no circuito precedente, todos os elementos sejam ideais, assinale a opção correta.
Provas
Questão presente nas seguintes provas
Cadernos
Caderno Container