Foram encontradas 770 questões.
Em um processo industrial, formaldeído é obtido a partir do metanol, segundo a reação química
CH3Oh → CH2O+H2
A conversão do metanol no reator é de 75%, e o metanol não convertido é separado em uma unidade de separação e reciclado, como ilustrado na figura a seguir. Esse processo industrial opera em regime permanente, e 60 kmol de formaldeído é produzido por hora.

Nas condições especificadas, a vazão molar de metanol na corrente de alimentação, em kmol/h, é igual a
Provas
Para poder entrar em um processo industrial, um sólido com teor de água, em massa, de 25,0% necessita ser secado a fim de produzir um sólido que contenha 5,0%, em massa, de água. Nessa condição, a fração mássica de água removida do sólido original é de, aproximadamente,
Provas
Uma mistura binária e equimolar de etano e propano é destilada com o objetivo de recuperar 90% do etano no destilado e 90% do propano no resíduo. Nessa condição, na hipótese de regime permanente, a fração de etano, em quantidade de matéria, no resíduo é de
Provas
Um combustível (T = 20°C) é queimado em uma câmara de combustão com ar (T = 20°C). Assumindo as hipóteses de que a câmara é bem isolada e que o regime é permanente, a temperatura adiabática de chama atinge seu valor máximo sob a condição de
Provas
Assinale a alternativa que corresponde à operação unitária que está associada à transferência de massa.
Provas
A tabela a seguir apresenta os resultados da análise para identificação de um poluente químico em uma amostra de efluente industrial. A concentração máxima desse poluente químico é estabelecida pela legislação vigente em 40,0 ppm.
| Réplica |
Concentração (ppm) |
| A | 50,0 |
| B | 55,0 |
| C | 50,5 |
| D | 51,0 |
| E | 40,0 |
| F | 52,0 |
| média | 50,0 |
| desvio-padrão | 5,1 |
Considerando essas informações e os testes de Dixon e Grubbs para identificação e rejeição outliers, com 95% de confiança, assinale a alternativa correta.
Dado: valores críticos de rejeição para os testes de Dixon e Grubbs.
| Dixon | Grubbs | |
| N | 95% | 95% |
| 3 | 0,970 | 1,154 |
| 4 | 0,829 | 1,481 |
| 5 | 0,710 | 1,715 |
| 6 | 0,625 | 1,887 |
| 7 | 0,568 | 2,020 |
| 8 | 0,526 | 2,127 |
| 9 | 0,493 | 2,215 |
| 10 | 0,466 | 2,290 |
Provas
A neutralização de uma solução ácida foi realizada testando 6 tipos de soluções básicas, provenientes de fabricantes diferentes, procedendo, para cada tipo de solução básica, 5 ensaios de titulação potenciométrica. O ponto de equivalência dos 30 ensaios de titulação potenciométrica foi anotado. Para dado nível de significância, um engenheiro químico deseja verificar se os valores médios dos volumes de soluções básicas no ponto de equivalência dos grupos para os ensaios de titulação potenciométrica são iguais. Na tabela a seguir, são apresentadas informações sobre a análise de variância.
|
Fonte de variação |
Soma dos quadrados |
| entre grupos | 32 |
| dentro dos grupos | X |
| total | 32+X |
O valor da estatística F (Fcalculado) empregado para testar a igualdade dos valores dos volumes médios de soluções básicas no ponto de equivalência foi igual a 19,2. Nessas condições, qual o valor de X?
Provas
Em ensaios de titulação ácido-base, um acadêmico desinformado procedeu empregando uma bureta não calibrada. No entanto, para essa bureta, deve-se empregar um fator de correção de – 0,3 ml para o valor medido, o que não foi feito. Se o acadêmico fez 13 ensaios de titulação com essa bureta, o tipo de erro cometido por ele foi o erro
Provas
Durante a validação de um método por cromatografia líquida acoplada à espectrometria de massas (LC-MS) para a quantificação de acrilamida em amostras de café, foi construída uma curva de calibração relacionando as áreas dos picos às concentrações do padrão. A equação da reta, obtida por regressão linear, para essa curva é:
Área = 305100 x [C] + 550
onde [C]: concentração (μg/L) de acrilamida.
Levando em conta outras espécies, provenientes da etapa de preparo de amostra, que ionizam e contribuem para o sinal analítico, realizou-se a determinação do “branco”. A área medida para o sinal do “branco” foi de 750, e a área média dos picos de acrilamida na amostra de café foi 916800. A partir dessas informações, pode-se afirmar que a concentração de acrilamida na amostra é, aproximadamente, igual a
Provas
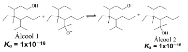
De acordo com a reação em equilíbrio representada a seguir e as características ácidas-básicas dos reagentes e produtos, assinale a alternativa correta.

Dados de constantes de ionização:
Ka (álcool 1) = 1x10−16
Ka (álcool 2) = 1x10−18.
Provas
Caderno Container