Foram encontradas 1.765 questões.

Provas
- Fundamentos de ProgramaçãoConstantes
- Fundamentos de ProgramaçãoLógica de Programação
- Fundamentos de ProgramaçãoTipos de Dados
- Fundamentos de ProgramaçãoVariáveis
Provas
Provas
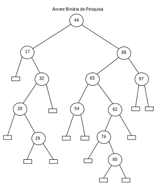
Marque a alternativa que apresenta o conteúdo dos nodos visitados na sequência correta, ao se
executar o algoritmo encontreElemento(82) na árvore de pesquisa binária da figura abaixo.Provas
Provas
Provas
Considerando-se o conjunto de instruções da plataforma x86, analise com atenção o programa assembly da figura e siga as seguintes instruções:
I) Substitua a marcação <DADO> pelo valor 5H, execute o programa, ao final anote o conteúdo do registrador EAX;
II) Substitua a marcação <DADO> pelo valor 4H, execute o programa, ao final anote o conteúdo do registrador EAX;
III) Substitua a marcação <DADO> pelo valor 3H, execute o programa, ao final anote o conteúdo do registrador EAX.

Assinale a alternativa em que os três valores listados (da esquerda para a direita), representando os conteúdos anotados nos passos i, ii e iii, estão CORRETOS.
Provas
- Fundamentos de ProgramaçãoAlgoritmosAnálise de Execução de Algoritmos
- Fundamentos de ProgramaçãoComplexidade
Provas
Disciplina: TI - Organização e Arquitetura dos Computadores
Banca: IFB
Orgão: IFB
Considerando-se sistemas de computação e sistemas digitais no aque tange às regras de aritmética envolvendo bases numéricas, analise a expressão na figura abaixo.
S = BB(20) - A1(16) + 15(6) * 0A(20)
Sobre o resultado esperado para a expressão aritmética S, assinale a alternativa CORRETA dentre as mostradas abaixo.
Provas
Disciplina: TI - Organização e Arquitetura dos Computadores
Banca: IFB
Orgão: IFB
Provas
Caderno Container