Foram encontradas 315 questões.
Um litro de uma solução concentrada de tampão fosfato (PBS) potencial hidrogeniônico - pH 7,2 foi preparada no laboratório utilizando a composição descrita abaixo:
| NaCl (Cloreto de Sódio) | 82gr |
| Na2HPO4 + 12H2O (Fosfato de SódioDibásico) | 10,5gr |
| NaH2PO4 + H2O (Fosfato de Sódio Monobásico. | 3,55gr |
| H2O (água) q.s.p. | 1L |
Legenda: gr - grama; L - litro; q.s.p. - quantidade suficiente para.
Após preparo da solução concentrada, retira-se 100ml (mililitro) dessa solução e dilui-se com 900ml de água ultra purifica. Ajusta-se o pH com gotas de HCl 1M (Ácido Clorídrico 1Molar) e ou NAOH 1M (Hidróxido do Sódio 1 Molar) conforme a necessidade, produzindo 1 litro da solução tampão de uso. Sobre o preparo e uso de soluções tampão podemos dizer que
Provas
Na análise quantitativa dos leucócitos no exame hemograma é usado uma solução que lisa as hemácias evidenciando e facilitando a sua contagem nessa diluição. A solução utilizada é o líquido de
Provas
A Portaria do Ministério da Justiça e Segurança Pública Nº 240, de 12 de março de 2019, descreve produtos e substâncias químicas de controle e fiscalização da Polícia Federal, enquanto o Decreto da Presidência da República Nº 10.030, de 30 de setembro de 2019, aprova o regulamento de produtos controlados pelas Forças Armadas Brasileira. O ácido pícrico, nitroglicerina, cloreto de benzila, acetona, clorofórmio, éter etílico, tolueno, ácido clorídrico, hidróxido de potássio, cafeína e benzocaína são produtos pertencentes em alguma dessas listas de controle e fiscalização. O controle dessas substâncias pela Polícia Federal e ou pelas Forças Armadas Brasileira é devido
Provas
A figura a seguir é um esquema representativo de um microscópio óptico binocular, com indicação numérica de seus componentes.

Assinale a alternativa que possui correspondência entre todos os números e os nomes corretos do componente do microscópico óptico.
Provas
Uma análise de urina recém-colhida de um paciente queixando dificuldade de urinar, dor pélvica e febre é realizada utilizando uma fita reagente que determina algumas reações físico-químicas, como: densidade e pH, presença de glicose, bilirrubina, cetona, proteína, sangue (hemoglobina), leucócito e nitrito. Sabendo que a análise físico-química utilizando a fita foi positiva para “leucócitos e nitrito”, o resultado é indicativo de
Provas
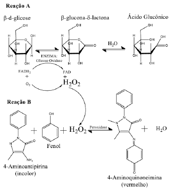
A determinação da glicose no soro de um paciente em um laboratório de análises clínicas moderno é realizada em um equipamento automatizado, onde o soro do paciente é colocado nesse aparelho e uma reação é processada em uma cubeta preenchida com volume do soro do paciente e de reagente. Todo o processo é controlado por sistema computadorizado que ajusta desde a temperatura de incubação da cubeta, o tempo de reação e até a pipetagem de amostra e de reagentes. Em dosagens manuais o volume de reagente utilizado e de amostras são maiores do que em dosagem em sistemas automatizados. Um dos métodos mais utilizados e comum para a determinação da glicose é por meio da reação enzimática de ponto final. Esta reação consiste na oxidação da glicose por intermédio de uma enzima gerando um produto intermediário que faz parte de uma segunda reação, formando um produto de cor. A quantidade do produto cromóforo é proporcional, portanto, à quantidade de glicose na amostra do paciente utilizado na reação. Assim, uma amostra que produz maior intensidade de cor terá maior quantidade de glicose.

Qual das afirmativas a seguir expressa corretamente os conceitos de automação da determinação da glicose e o método descrito na questão e seus reagentes?
Provas
Abaixo temos o desenho de dez (10) vidrarias ou equipamentos laboratoriais.

A alternativa que contêm somente vidrarias que podem ser utilizadas para mensuração de líquidos com a finalidade de preparo de uma solução de concentração conhecida em laboratório é:
Provas
Em um laboratório de Análises Clínicas o procedimento de centrifugação de amostras de sangue, urina e outros fluídos biológicos são realizadas para separação de elementos celulares, estruturas sólidas e particulados de um sobrenadante. Quais força atuam durante o processo de centrifugação em uma amostra?
Provas
As pipetas são instrumentos de medidas de volumes com muita precisão muito importantes nos laboratórios clínicos, de pesquisa e de ensino. No entanto esses instrumentos precisam ser corretamente operados para garantir a qualidade nos procedimentos em que são úteis. Na imagem abaixo são representados diferentes tipos de pipetas. Utilizando essa imagem, identifique corretamente as pipetas enumeradas, em seguida escolha a alternativa correta.

Provas
Considere a planilha abaixo criada no Microsoft Excel 2010 para verificação de intercorrências com amostras de pacientes. Na planilha estão listados números de séries referentes aos pacientes na coluna A, intercorrência na coluna B e ação na coluna C. O técnico de análises clínicas Vicente, com o intuito de aumentar sua produtividade, resolve escrever uma fórmula lógica nas células da coluna C. Identifique a fórmula utilizada corretamente por Vicente para retornar o resultado “verificar” nos pacientes 4646 e 18294.

Provas
Caderno Container